阿摩線上測驗
登入
首頁
>
工程數學(應用數學, 線性代數、微分方程、複變函數與機率)
> 99年 - 99 國家安全情報特種考試_三等_電子組:工程數學#36123
99年 - 99 國家安全情報特種考試_三等_電子組:工程數學#36123
科目:
工程數學(應用數學, 線性代數、微分方程、複變函數與機率) |
年份:
99年 |
選擇題數:
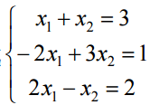
20 |
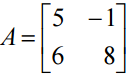
申論題數:
7
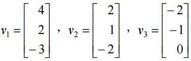
試卷資訊
所屬科目:
工程數學(應用數學, 線性代數、微分方程、複變函數與機率)
選擇題 (20)
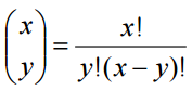
1下列何者可為 y′′′ −6y ′′ + 11y′−6 y = 0 之解? (A) y= e
4x
(B) y= e
−2x
(C) y = e
3x
(D) y =e
−x
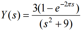
2 y(t) 之拉氏轉換(Laplace transform)為
,其中 u(t) 為單位步階(unit step)函數,則 y (t) = ? (A)y(t)=(1-u(t-2π))sin 3t(B) y(t)=3(1-u(t-2π))cos3t(C) y(t)=3cos3(t-2π) (D)y(t)=u(t-2π)sin3t
3 下列何者可為微分方程式y'=e
-2x
之解?
4 下列何者可為微分方程式
之解?
(A)y
2
=x
2
(ln│x
│
+c) (B)y
2
=x
2
(8ln
│x
│=c)
(C)y
2
=x(8ln
│x
│+c)
(D)y=x
2
(8ln
│x
│+c
)
5 下列何者錯誤? (A) y′′ +4y′+3y = 0 是線性微分方程式 (B) y′+2x
3
y =xy 是白努利(Bernoulli)方程式 (C) 2sin(y
2
)dx=xycos(y
2
)dy=0是正合微分(exact differential)方程式 (D) x
2
y"+xy'+2y=0,其中 x > 0 ,是尤拉柯西(Euler-Cauchy)方程式
6 試求函數 = 2sin)( tttf 之拉氏轉換(Laplace transform):
7 下列選項何者為 e
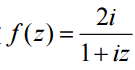
z
= 2i 的一解,其中 i =√− 1 : (A)iln(2) (B)ln2 + i (3/2) π (C) ln(2)+i(5/2)π (D)ln(2)+i(7/2)π
8 複變函數
對2i 展開的泰勒級數( Taylor series)為何?其中 i =√− 1 。
9 已知
,下列函數φ (x,y,z) 何者滿足
?
10 給定曲線 4x
2
+y
2
= 4 , z= −√3x ,則點 P (1,0,-√3)至點Q (-1,0,√3) 之總長度為何? (A)π (B) 2π (C)3π (D) 4π
11 令向量
,則行列式值 │uv
T
│ 為何? (A)− 6 (B)0 (C)2 (D)10
12 下列何者為聯立方程式
之最小平方解(Least squares solution)?
13 設
,則行列式│A
-1
│ =? (A)1/23 (B)1/46 (C)46 (D)23
14 設
,則 A 的簡化列梯形式(reduced row echelon form)為何?
15 設
是 R
3
中的向量,試問下列那一個向量可以表示為 v1,v2,v3的線性組合( linear combination)?
16 試計算 z
i
=u(r,θ)+iv(r,θ)的主值(principal value, −π <θ < π ),其中z=re
iθ
。則下列何者正確?
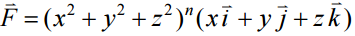
17 若 ∇為 gradient,f 為一純量函數,下列何者為圓柱體座標系(r ,θ, z ) 上之∇f ?
18 令 X 與 Y 為均勻分布(uniform distribution)於[ 0,1 ]之二獨立(independent)連續隨機變數(continuous random variable),試求機率P(Y
2
>3X
2
) ? (A)1/6 (B)1/2√3 (C)3-√3/2 (D)√2/2
19 欲從一 52 張之標準撲克牌中抽出 5 張牌,試求 5 張牌皆為同一種花色(suit)之機率,若該機率為
, 其中
,試求 a+b+c+d+e = ? (A)58 (B)57 (C)28 (D)19
20 一離散隨機變數(discrete random variable)X 均勻(uniformly)分布於{1,2,3
...
,10 },令 Y 為事件 X ≤ 5 之指標(indicator)隨機變數,令 Z 為 X 之奇數事件之指標(indicator)隨機變數,試求E(Y)+E(Z) ? (A)0.6 (B)1 (C)1.2 (D)1.5
申論題 (7)
⑴行空間(column space)
⑵列空間(row space)
⑶零空間(null space)。(15 分)
【已刪除】二、求解
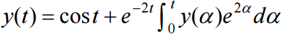
。(10 分)
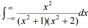
【已刪除】三、請利用留數(residue)求
之值。(10 分)
⑴求 X 與 Y 的邊際機率密度函數(marginal probability density function)f
x
(x) 與f
y
(y) 。(10 分)
⑵求 W 的期望值(Expected value)。(5 分)
相關試卷
114年 - 114 專技高考_電機工程技師:工程數學(包括線性代數、微分方程、複變函數與機率)#133679
114年 · #133679
114年 - 114 專技高考_電子工程技師:工程數學(包括線性代數、微分方程、向量分析、複變函數與機率)#133677
114年 · #133677
114年 - 114 調查特種考試_三等_電子科學組:工程數學#129578
114年 · #129578
114年 - 114 國家安全情報特種考試_三等_電子組(選試英文):工程數學#127780
114年 · #127780
113年 - 113 專技高考_電子工程技師:工程數學(包括線性代數、微分方程、向量分析、複變函數與機率)#123976
113年 · #123976
113年 - 113 專技高考_電機工程技師:工程數學(包括線性代數、微分方程、複變函數與機率)#123971
113年 · #123971
113年 - 113 調查特種考試_三等_電子科學組:工程數學#122110
113年 · #122110
113年 - 113 身心障礙特種考試_三等_電力工程:工程數學#119517
113年 · #119517
112年 - 112 地方政府特種考試_三等_電力工程、電子工程:工程數學#118376
112年 · #118376
112年 - 112 專技高考_電機工程技師:工程數學(包括線性代數、微分方程、複變函數與機率)#117639
112年 · #117639