阿摩線上測驗
登入
首頁
>
控制系統
>
96年 - 96 專利商標審查特種考試_三等_控制工程:控制系統#50554
> 申論題
題組內容
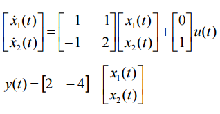
五、
⑴和以上方程式對應之系統是否可控(Controllable)?
相關申論題
⑴在複數平面標示零點(zero)與極點(pole)。
#179633
⑵某系統之轉移函數為 F(s),則該系統是否穏定?請說明理由。 (20 分)
#179634
⑴何謂線性系統?
#179635
⑵何謂線性微分方程式?
#179636
⑶請舉一線性系統,其數學模型並不是線性微分方程式。
#179637
⑷請舉一線性微分方程式,它並不是線性系統的數學模型。 (20 分)
#179638
⑴以方塊圖表示開迴路(Open Loop)架構。
#179639
⑵以方塊圖表示閉迴路(Closed Loop)架構。
#179640
⑶比較兩種架構之優缺點。 (20 分)
#179641
四、某系統之特徵方程式(Characteristic Equation)為 s ( s 2 + s + 1)( s + 2) + K = 0 , 找出 K 的範圍,使該系統穩定。 (20 分)
#179642
相關試卷
114年 - 114 高等考試_二級_電力工程:控制系統#131606
114年 · #131606
113年 - 113 高等考試_二級_電力工程:控制系統#123078
113年 · #123078
112年 - 112 高等考試_二級_電力工程:控制系統#116766
112年 · #116766
111年 - 111 高等考試_二級_電力工程:控制系統#111038
111年 · #111038
110年 - 110 高等考試_二級_電力工程:控制系統#101931
110年 · #101931
109年 - 109 高等考試_二級_電力工程:控制系統#91548
109年 · #91548
108年 - 108 高等考試_二級_電力工程:控制系統#79579
108年 · #79579
107年 - 107 第十八屆TAIROA社團法人台灣智慧自動化與機器人協會_自動化工程師證照考試_Level 2/機器人中階:控制系統#72749
107年 · #72749
107年 - 107 高等考試_二級_電力工程:控制系統#72396
107年 · #72396
106年 - 106 高等考試_二級_電力工程:控制系統#65249
106年 · #65249