所屬科目:控制系統
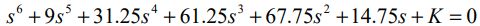
一、設一單位負回授控制系統之開迴路轉移函數為 ,試求得 令該閉迴路系統符合下列特性規格之K、a及b參數值:步階響應穩態誤 差ess = 4%、阻尼比ζ = 0.6、無阻尼自然頻率 ωn = 7 rad/s 。(25 分)
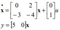
二、設一動態系統可表示為下式,試求其轉移函數 。(25 分)
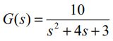
三、設一動態系統之轉移函數為 ,試求其狀態轉移矩陣 Φ(t)。(25 分)