阿摩線上測驗 登入

申論題資訊

試卷:114年 - 114 國家安全情報特種考試_三等_數理組(選試英文):機率統計#127776
科目:機率統計
年份:114年
排序:0

題組內容

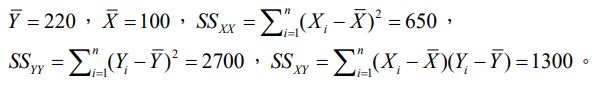
四、將 n  12 個樣本資料,建構簡單線性迴歸模型如下:

 其中 ~ N (0,σ2 ) , i = 1,..., n 。經計算得到

請回答下列問題:

申論題內容

(一)使用普通最小平方法(OLS)估計 β0 與 β1