阿摩線上測驗
登入
首頁
>
機率統計
>
114年 - 114 國家安全情報特種考試_三等_數理組(選試英文):機率統計#127776
> 申論題
題組內容
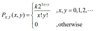
一、設 X 與 Y 為兩隨機變數,其聯合機率質量函數(joint probability mass function)為
請問:
(三) Y 的邊際機率質量函數
為何?
相關申論題
(一) k 的值應為多少?
#543985
(二) X 的邊際機率質量函數 為何?
#543986
(一)平均有幾個卵存活?
#543988
(二)沒有任何一個卵存活的機率為多少?
#543989
(一) σ2 的不偏估計(點估計)。
#543990
(二)請進行 σ2 是否等於 20 的假設檢定(必須寫出虛無與對立假設、檢定統計量、臨界值、檢定結果)。
#543991
(三)試求σ2 的 95%信賴區間。
#543992
(一)使用普通最小平方法(OLS)估計 β0 與 β1 。
#543993
(二)求誤差平方和 SSE 與均方誤差 MSE。
#543994
(三)求 X = 110 時的預測 Y 值及其 95%信賴區間。
#543995
相關試卷
114年 - 114 國家安全情報特種考試_三等_數理組(選試英文):機率統計#127776
114年 · #127776
107年 - 107 國家安全情報特種考試_三等_數理組(選試英文):機率統計#74200
107年 · #74200
106年 - 106 國家安全情報特種考試_三等_數理組(試選英文):機率統計#103224
106年 · #103224
105年 - 105 國家安全情報特種考試_三等_數理組(選試英文):機率統計#55668
105年 · #55668
104年 - 104 國家安全情報特種考試_三等_數理組(選試英文):機率統計#41276
104年 · #41276
103年 - 103 國家安全情報特種考試_三等_數理組(選試英文):機率統計#42084
103年 · #42084
102年 - 102 國家安全情報特種考試_三等_數理組(選試英文):機率統計#42091
102年 · #42091
101年 - 101 國家安全情報特種考試_三等_數理組(選試英文):機率統計#42256
101年 · #42256
100年 - 100 國家安全情報特種考試_三等_數理組(選試英文):機率統計#42188
100年 · #42188
99年 - 99 國家安全情報特種考試_三等_數理組(選試英文):機率統計#42296
99年 · #42296