阿摩線上測驗
登入
首頁
>
自動控制學
>
112年 - 112 關務特種考試_三等_機械工程:自動控制#113920
> 申論題
題組內容
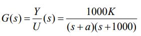
四、一轉移函數
:
(二)概略畫出系統 G ( s ) 之奈氏圖(Nyquist plot),估算系統之增益邊限 (gain margin)與相位邊限(phase margin),並標註於奈氏圖上。(15 分)
相關申論題
(一)試推導從 R(s) 到 Y (s) 的轉移函數。(10 分)
#486113
(二)請判斷能使系統穩定時,K 的範圍。若欲使 R(s) 為步階輸入時, C (s) 與 R(s)之間的穩態誤差趨近於零,試說明系統穩定時此目標不可能達到。 (15 分)
#486114
(一)試說明此系統之型態(system type),並設計最小之整數 K 值以使其步階響應之穩態誤差能小於參考輸入的 2.5%,並請判斷此設計是否能使系統穩定。(15 分)
#486115
(二)若此設計無法使系統穩定,試說明應採用 P、PI 或 PD 控制補償以達成要求。(10 分)
#486116
(一)推導出以 T 為輸入、x 為輸出的轉移函數 。(10 分)
#486117
(二)當 J=4 , D = 8 , r = 2 , M= 1 時,設計 B 與 K 之值以使系統的主極點具有阻尼比(damping ratio)為 0.5 且自然頻率為 3。若設法將齒輪改成極輕因而 J 可忽略不計,且系統其他參數均不變,請問此時系統的阻尼比與自然頻率將分別如何變化(變大或變小)?(15 分)
#486118
(一)若當輸入 u (t ) = 2cos(3t ) 時,輸出 y (t ) = 6cos(3t - ),依此資訊估算 K 與 a 之值。(10 分)
#486119
3. 試求 θ2(t)為?
#562414
2. 假設 a = 1 為此系統參數之標準值,試求此系統類型及誤差常數。
#562413
4. 請完整的畫出此系統之根軌跡 (K> 0)。
#562412
相關試卷
114年 - 114 高等考試_二級_機械工程:自動控制學#131590
114年 · #131590
114年 - 114 關務特種考試_三等_機械工程(選試英文):自動控制#126653
114年 · #126653
113年 - 113-2 國營臺灣鐵路股份有限公司_從業人員甄試_第8階-助理工程師-電機:自動控制#137141
113年 · #137141
113年 - 113 高等考試_二級_機械工程:自動控制學#123065
113年 · #123065
113年 - 113 關務特種考試_三等_機械工程(選試英文):自動控制#119475
113年 · #119475
112年 - 112 地方政府特種考試_三等_機械工程:自動控制#118354
112年 · #118354
112年 - 112 高等考試_二級_機械工程:自動控制學#116760
112年 · #116760
112年 - 112 高等考試_三級_機械工程:自動控制#115741
112年 · #115741
112年 - 112 關務特種考試_三等_機械工程:自動控制#113920
112年 · #113920
111年 - 111 地方政府特種考試_三等_機械工程:自動控制#112361
111年 · #112361