題組內容
五、一位分析師為探討 A 地區勞工的所得(X)如何影響其休閒娛樂支出(Y) 而建立如下之迴歸模型:
,其中 ε 為隨機誤差項,且
。該分析師在 A 地區隨機抽樣了 101 位勞工,經蒐集此 101 位勞工之相關資料,並得統 計資料如下:(單位:千元)
,其中 ε 為隨機誤差項,且
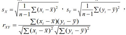
。該分析師在 A 地區隨機抽樣了 101 位勞工,經蒐集此 101 位勞工之相關資料,並得統 計資料如下:(單位:千元) 相關係數 rXY = 0.5,X 的樣本標準差 sX =10,Y 的樣本標準差 sY = 2
註:

(二)試求變異數
之估計值為何?(10 分)
詳解 (共 2 筆)
詳解

詳解
SST=SSY=(n-1)sY2=(101-2)*22=400
SSR=β2*SSX=0.12*(101-1)*102=100
SSE=SST-SSR=400-100=300
σ2之估計值 MSE= SSE/(n-2) = 300/(100-2) = 3.03