阿摩線上測驗
登入
首頁
>
自動控制學
>
109年 - 109 地方政府特種考試_三等_機械工程:自動控制#94579
> 申論題
題組內容
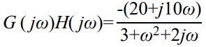
四、考慮一閉迴路系統,其開迴路轉移函數為:
(二)試繪製奈氏圖(Nyquist Plot)。 (15分)
相關申論題
(一)試繪製其閉迴路極點於實軸之根軌跡(Root Locus)。 (5分)
#394203
(二)決定一條根軌跡之離開角(Departure Angle)與到達角(Arrival Angle) , 須註明極點與零點位置及 的正負號條件。(5分)
#394204
(三)試繪製包含 可為正負值之完整根軌跡。(10分)
#394205
(四)由羅斯表(Routh Table)決定 形成該閉迴路 BIBO 之穩定條件。 (5分)
#394206
(一)試找出該二階系統之拉普拉斯轉換(Laplace Transform) ,須說明決定該拉普拉斯轉換的理由。(15分)
#394207
(二)試決定該二階系統之單位斜坡響應(Unit Ramp Response)之時間函 數。 (10分)
#394208
(一)試繪製 為輸入且x1 為輸出時之方塊圖。(10分)
#394209
(二)試推導 為單位步階函數時之穩態誤差。(15分)
#394210
(一)試繪製波德圖(Bode Plot) 。(10分)
#394211
3. 試求 θ2(t)為?
#562414
相關試卷
114年 - 114 高等考試_二級_機械工程:自動控制學#131590
114年 · #131590
114年 - 114 關務特種考試_三等_機械工程(選試英文):自動控制#126653
114年 · #126653
113年 - 113-2 國營臺灣鐵路股份有限公司_從業人員甄試_第8階-助理工程師-電機:自動控制#137141
113年 · #137141
113年 - 113 高等考試_二級_機械工程:自動控制學#123065
113年 · #123065
113年 - 113 關務特種考試_三等_機械工程(選試英文):自動控制#119475
113年 · #119475
112年 - 112 地方政府特種考試_三等_機械工程:自動控制#118354
112年 · #118354
112年 - 112 高等考試_二級_機械工程:自動控制學#116760
112年 · #116760
112年 - 112 高等考試_三級_機械工程:自動控制#115741
112年 · #115741
112年 - 112 關務特種考試_三等_機械工程:自動控制#113920
112年 · #113920
111年 - 111 地方政府特種考試_三等_機械工程:自動控制#112361
111年 · #112361