題組內容
四、假設使用兩種生產要素的生產函數設定如下:
(樣本數) 
(樣本數) 其中
是第 i 家公司取自然對數的生產量,
分別代表取自然對數 的勞動與資本財投入量,
為隨機干擾項。已知
是第 i 家公司取自然對數的生產量,
分別代表取自然對數 的勞動與資本財投入量,
為隨機干擾項。已知 
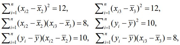
各變數有上橫線者,代表樣本算術平均數。在樣本數等於 23 以及迴歸基 本假設都成立的情況下:
(樣本數)
是第 i 家公司取自然對數的生產量,
分別代表取自然對數 的勞動與資本財投入量,
為隨機干擾項。已知 