所屬科目:數量方法(包括計量經濟學與數理統計)
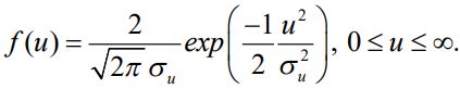
(二)假設 擁有相同分配,請證明 ︱α1 ︱< 1。
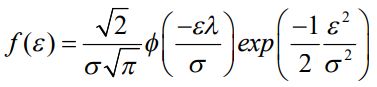
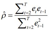
(二)請證明估計式 是自我迴歸係數ρ的一致性估計式, 與 分別是本題複迴歸模型的當期與落後一期的最小平方殘差。
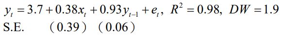
(四)如果研究者估計一條迴歸方程式並得到以下結果:
其中 是殘差項,S.E.為估計標準誤(standard error), R2 代表判定係數(coefficient of determination),DW 代表 Durbin-Watson 統計量。 以上數據顯示模型配適度極佳,而且 DW 統計量很接近 2,顯示不存在自我相關(autocorrelation)。 前段說法是否正確?