阿摩線上測驗
登入
首頁
>
高中指考◆數學乙
>
91年 - 91 大學入學考試中心_指定科目考試:數學乙#114963
> 申論題
題組內容
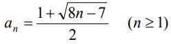
三、設數列〈a
n
〉的第n項a
n
為
(1)依序列出a
2
、a
3
、a
4
、a
5
、a
6
、a
7
的值。(6分)
相關申論題
A.前行政院長提出知識經濟,喊出10年內要讓台灣double(加倍),一般小市民希望第11年開始的薪水加倍。如果每年調薪a%,其中a為整數,欲達成小市民的希望,那麼a的最小值為__③__。(參考數值:)
#490699
B.設一橢圓方程式為,其中a>0,b>0,F為它的一個焦點。已知此橢圓在x軸上的兩個頂點與F的距離分別為5單位及1單位,如左下圖B所示。則(a,b)=。
#490700
C.如右上圖C所示,一個大的正八角星的頂點為周圍八個全等的小正八角星中心,相鄰的兩個小八角星有一個共同的頂點。觀察圖中虛線部分,設小八角星頂點C到其中心A的距離為a,大 八角星頂點A到其中心的距離O為b。試問a:b的比值為。
#490701
D.因乾旱水源不足自來水公司計畫在下週一至週日的7天中選擇2天停止供水。若要求停水的兩天不相連,則自來水公司共有多少種選擇方式? 答:__⑧⑨__種。
#490702
E.用單位長的不銹鋼條焊接如下圖系列的四面體鐵架,圖中的小圈圈「。」表示焊接點,圖E_1 有兩層共4個焊接點,圖E_2有三層共10個焊接點,圖E_3有四層共20個焊接點。試問依此規律,推算圖E_5有六層共多少焊接點?答:__⑩⑪__個。
#490703
F.有一鋼架結構,其底面為邊長2單位的正八邊形,上面為邊長2單位的正方形,側面有四個正方形及四個正三角形(如下圖F_1)。從此鋼架上方作正射影,可得(如下圖F_2)所示的圖形。則此鋼架的高度為單位。
#490704
一、某公司考慮在甲、乙兩地間選擇一地投資開設新廠。經評估,在甲地設廠,如獲利,預計可 獲利10000(萬元);如不獲利,預計將虧損7000(萬元)。在乙地設廠,如獲利,預計可獲 利6000(萬元);如不獲利,預計將虧損5000(萬元)。又該公司評估新廠在甲、乙兩地獲利 的機率分別為0.6、0.7。如以獲利期望值為決策準則,該公司應選擇甲地或乙地投資?寫出作 決策的過程。(10分)
#490705
二、某歌唱訓練班根據以往的經驗得知:每花10萬元在報章雜誌上替歌手打廣告可以提升歌手的形象指數5點,知名度指數10點;反之,若是在電台上,同樣花10萬元替歌手打廣告,則可以提升歌手的形象指數6點,知名度指數4點。根據市場調查發現成為名歌星的形象指數至少160點,知名度指數亦至少160點,而且綜合指數(形象指數與知名度指數的和)至少360點。試問:歌唱訓練班要讓一位新歌手(假設其形象指數與知名度指數皆為0)成為名歌星至少應該花多少廣告費?這些廣告費報章雜誌與電台應各分配多少,效果最好。(請在坐標平面上畫圖求解)(14分)
#490706
(2)設k為一正整數,試說明k2-k必為偶數。(4分)
#490708
(3)設k為一正整數,試證明在數列〈an〉中,可以找到一個項am使am=k。(6分)
#490709
相關試卷
114年 - 114 大學入學考試中心_分科測驗:數學乙#131153
114年 · #131153
110年 - 110 大學入學考試中心_指定科目考試:數學乙#99979
110年 · #99979
109年 - 109(補考) 大學入學考試中心_指定科目考試:數學乙#89674
109年 · #89674
109年 - 109 大學入學考試中心_指定科目考試:數學乙#87876
109年 · #87876
108年 - 108 大學入學考試中心_指定科目考試:數學乙#97808
108年 · #97808
107年 - 107 大學入學考試中心_指定科目考試:數學乙#97823
107年 · #97823
106年 - 106 大學入學考試中心_指定科目考試參考試卷:數學乙#114987
106年 · #114987
106年 - 106 大學入學考試中心_指定科目考試:數學乙#62741
106年 · #62741
105年 - 105 大學入學考試中心_指定科目考試:數學乙#53359
105年 · #53359
104年 - 104 大學入學考試中心_指定科目考試:數學乙#114989
104年 · #114989