阿摩線上測驗
登入
首頁
>
高中(學測,指考)◆數學
>
111年 - 111 大學入學考試中心_學科能力測驗:數學A#105923
> 申論題
題組內容
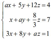
14. 已知 a 、 b 為實數,且方程組
恰有一組解,又此方程組經過一系列的高斯消去法運算後,原來的增廣矩陣可化為
。則
(2)b = ________(化為最簡分數)
相關申論題
17. 坐標空間中一平行六面體,某一底面的其中三頂點為 (-1,2,1),(-4,1,3),(2,0,-3) 另一面之 一頂點在 xy 平面上且與原點距離為 1。滿足前述條件之平行六面體中,最大體積為 ________。
#451840
18. 試問點 B的坐標為下列哪一選項?(單選題,3 分) (A) (0,2) (B) (C)(D) (E) (2,0)
#451841
19. 令 O 為原點,掃描棒停止時黑、白兩端所在位置分別為 A' , B'。試在答題卷上作圖區中 以斜線標示掃描棒掃過的區域 R;並於求解區內求 cos∠OA' B'及點 A' 的極坐標。 (非選擇題,6 分)
#451842
20. (承 19 題)令Ω表示掃描棒在第一象限所掃過的區域,試分別求Ω與 R的面積。 (非選擇題,6 分)
#451843
13. 有一款線上遊戲推出「十連抽」的抽卡機制,「十連抽」意思為系統自動做十次的抽卡 動作。若每次「十連抽」需用 1500 枚代幣,抽中金卡的機率在前九次皆為 2%,在第 十次為 10%。今某生有代幣 23000 枚,且不斷使用「十連抽」,抽到不能再抽為止。則 某生抽到金卡張數的期望值為 ________ 張。
#451835
(1)a = ________ (化為最簡分數)
#451836
15.如圖,王家有塊三角形土地△ABC,其中=16公尺。政府擬徵收其中梯形 DBCE 部分, 開闢以直線 DE BC , 為邊線的馬路,其路寬為 h 公尺,這讓王家土地 只剩原有面積的。經協商,改以開闢平行直線 BE FC , 為邊線的馬 路,且路寬不變,其中∠EBC=30° ,則只需徵收△BCE 區域。依此協商,王家剩餘的土地△ABE 有 ________ 平方公尺。
#451838
16. 坐標空間中,平面 x-y+2z=3上有兩相異直線 L:與 L'。 已知 L也在另一平面 E 上,且 L'在 E 的投影與 L重合。 則 E 的方程式為 x + ________ y+ ________ z =________。
#451839
20. 已知照片中乙星軌跡的起點 Q 坐標為 (2,8)。令 R 為其軌跡終點,試求以及點 R 的坐標。 (非選擇題,6 分)
#562010
19. 令 L 為通過點 (8,0) 且斜率為 1 的直線。試說明點 P 在 L 上,並求甲星軌跡所在的 圓方程式。(非選擇題,6 分)
#562009
相關試卷
115年 - 115 財團法人大學入學考試中心基金會_學科能力測驗試題:數學B#137079
115年 · #137079
115年 - 115 財團法人大學入學考試中心基金會_學科能力測驗試題:數學A#137066
115年 · #137066
114年 - 114 財團法人大學入學考試中心基金會_學科能力測驗試題:數學B#125190
114年 · #125190
114年 - 114 財團法人大學入學考試中心基金會_學科能力測驗試題:數學A#125189
114年 · #125189
113年 - 113 北北基高級中等學校_學科能力測驗聯合模擬考試:數學#123743
113年 · #123743
113年 - 113 大學入學考試中心_學科能力測驗:數學A#118746
113年 · #118746
113年 - 113 大學入學考試中心_學科能力測驗:數學B#118743
113年 · #118743
112年 - 112 大學入學考試中心_學科能力測驗:數學A#113017
112年 · #113017
112年 - 112 大學入學考試中心_學科能力測驗:數學B#112994
112年 · #112994
111年 - 111 大學入學考試中心_學科能力測驗:數學B#105931
111年 · #105931