題組內容
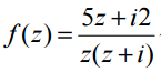
四、已知
。請針對以下各範圍,以 z = i 為中心,將一個複數函 數
做級數展開(series expansion):
。請針對以下各範圍,以 z = i 為中心,將一個複數函 數
做級數展開(series expansion):
。請針對以下各範圍,以 z = i 為中心,將一個複數函 數
做級數展開(series expansion):