阿摩線上測驗
登入
首頁
>
工程數學(應用數學, 線性代數、微分方程、複變函數與機率)
>
101年 - 101 鐵路特種考試_高員三級_電力工程、電子工程:工程數學#34393
> 申論題
申論題
試卷:101年 - 101 鐵路特種考試_高員三級_電力工程、電子工程:工程數學#34393
科目:工程數學(應用數學, 線性代數、微分方程、複變函數與機率)
年份:101年
排序:0
申論題資訊
試卷:
101年 - 101 鐵路特種考試_高員三級_電力工程、電子工程:工程數學#34393
科目:
工程數學(應用數學, 線性代數、微分方程、複變函數與機率)
年份:
101年
排序:
0
題組內容
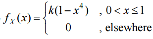
四、若隨機變數(random variable)X 的機率密度函數(probability density function) 為
,求:
申論題內容
⑶ X
2
的期望值(mean value): E [X
2
] 。(5 分)