阿摩線上測驗
登入
首頁
>
自動控制學
>
99年 - 099年身心障礙人員3等自動控制#47100
> 申論題
題組內容
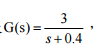
一、有一傳遞函數
⑵已知輸入訊號 r ( t ) = sin 2t ,試求輸出訊號的穩態響應(steady-state response)的時 間域(time domain)數學式子。(10 分)
相關申論題
⑴試解釋它是否穩定。(10 分)
#162383
二、試比較相位領先補償器(lead compensator)和相位落後補償器(lag compensator) 的功用。(19 分)
#162385
⑴寫出其數學表示式。(7 分)
#162386
⑵繪圖顯示波形。(7 分)
#162387
⑶寫出其拉氏轉換(Laplace transform)。(7 分)
#162388
⑴試寫出其對應之狀態空間變數方程式(state variable equation)。(10 分)
#162389
⑵試利用矩陣檢驗其可控性與可觀性。(10 分)
#162390
⑴試問它有幾個極點(pole)?(3 分)
#162391
⑵試問幾個零點(zero)?(3 分)
#162392
⑶試繪圖顯示根軌跡。(14 分)
#162393
相關試卷
114年 - 114 高等考試_二級_機械工程:自動控制學#131590
114年 · #131590
114年 - 114 關務特種考試_三等_機械工程(選試英文):自動控制#126653
114年 · #126653
113年 - 113-2 國營臺灣鐵路股份有限公司_從業人員甄試_第8階-助理工程師-電機:自動控制#137141
113年 · #137141
113年 - 113 高等考試_二級_機械工程:自動控制學#123065
113年 · #123065
113年 - 113 關務特種考試_三等_機械工程(選試英文):自動控制#119475
113年 · #119475
112年 - 112 地方政府特種考試_三等_機械工程:自動控制#118354
112年 · #118354
112年 - 112 高等考試_二級_機械工程:自動控制學#116760
112年 · #116760
112年 - 112 高等考試_三級_機械工程:自動控制#115741
112年 · #115741
112年 - 112 關務特種考試_三等_機械工程:自動控制#113920
112年 · #113920
111年 - 111 地方政府特種考試_三等_機械工程:自動控制#112361
111年 · #112361