所屬科目:身心障礙升大專-數乙
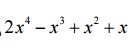
1. 四次多項式 除以得餘式ax + b ,則a+ b 等於多少? (A) -4 (B) -3(C)-2(D)-1
2. 三次實係數多項式 f (x) 被 除之餘式為 x +1,被 除之 餘式為7 x +1 ,問 f (0)等於多少?(A) 1 (B) 3 (C) 5 (D) 7
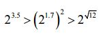
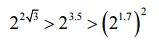
3. 請選出正確的不等式。 (A) (B) (C) (D)
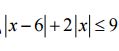
4. 滿足不等式 的實數 x所構成的集合是一個區間,問該區間的長 度等於多少?(A) 5 (B) 4 (C) 3 (D) 2
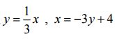
9. 坐標平面上,直線 L 的方程式為ax+ by = 7,L 通過點(1,1)而且與直線互相垂直。問 a 等於多少? (A) 2 (B) 4 (C) 6 (D) 8
10. 下面哪一個不等式在坐標平面上對應的圖形與第二象限的交集為空集合? (A) (B) (C) (D)
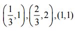
11. 坐標平面上,ΔABC 的三個頂點 分別位於直線和 y =1 兩兩的交點。則由直線和 x =1圍成的三角形面積是 (A) (B) (C) (D)
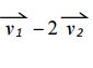
12. 坐標平面上長度為 1 的兩向量 ,其內積為。問 的長度 為多少? (A) (B) 2(C)(D)
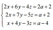
13. a為實數,聯立方程組為 。 問a為多少時,聯立方程組有解?選出正確的選項。 (A) a =2 (B)a =3 (C)a =4 (D) a =5
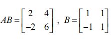
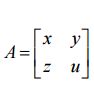
15. A,B 為二階方陣。已知,令 ,問 x等 於多少? (A) 1 (B) 2 (C) 3 (D) 4
17. 投擲一枚公正的銅板 7 次,問出現 5 次以上(含 5 次)正面的機率為多少? (A) (B) (C) (D)
19. 袋中有五顆形狀、大小、重量均相同的球,球上分別標示 1,2,3,4,5 五個數字。 現從袋中隨意抽出一球,假設每一顆球被抽中的機率均為 。問所抽出數字 的變異數為多少? (A) 1.2 (B) 1.5 (C) 2 (D) 2.5
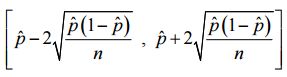
20. 某國政府對甲乙丙丁四項提案進行民意調查。甲提案,抽樣了 1600 名,贊 成的有 400 名,反對的有 1200 名。乙提案,抽樣了 1600 名,贊成的有 800 名,反對的有 800 名。丙提案,抽樣了 2500 名,贊成的有 1000 名,反對的 有 1500 名。丁提案,抽樣了 2500 名,贊成的有 1250 名,反對的有 1250 名。 問四項提案支持度 95%信心水準下的信賴區間 ,何者最短? (A) 甲 (B) 乙 (C) 丙 (D) 丁