所屬科目:身心障礙升大專-數乙
1.設。則ab2之值為下列哪一個選項? (A)(B)(C)(D)
2.某廠牌的花生罐外標示內容物的重量是600克±3%。某甲買了5罐,試問下列哪個選項較不可能為某甲買到的花生總重量? (A)2900克 (B)2982克 (C)3054克 (D)3080克
4.設是首項為、公差為的等差數列,且對所有正整數n均成立,試選出正確的選項。 (A)(B)恆大於0 (C)是等差數列 (D)是等比數列
5.已知二次函數y=f(x)與y=-2圖形恰交一點,且f(x)分別除以(x-1)以及(x-3)的餘式皆為-4。試問 f(0)之值為何? (A)-2 (B)-6 (C)-10 (D)-14
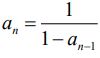
6.數列定義如下:a1=4;對所有n≥2,有。試問下列哪一個選項也等於4? (A)(B) (C)(D)
7.坐標平面上,給定兩點A(0,-2)、B(0,-6)。今以線段為直徑作一 圓,試問下列哪一條直線與此圓相切? (A)3x+4y-3=0 (B)3x+4y+3=0 (C)3x+4y+3=0 (D)3x+4y+6=0
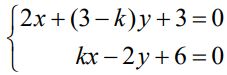
11.設k為實數,已知二元一次聯立方程式無解。試問k值可以是下列哪一個選項? (A)-1 (B)-3 (C)2 (D)4
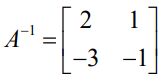
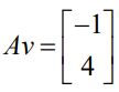
13.設A是二階方陣,且其乘法反方陣 。若v是一個2✕1階矩陣,且 ,則v是下列哪一個選項? (A)(B)(C)(D)
14.某實驗室有調控溫度的設備,使得某日溫度y(°C)對時間t(小時)可用正弦波y=Asin(Bt+C)來描述兩者的關係,其中A、B、C為常數。已知該日上午7點達到最高溫度18°C,並一路下跌至上午8點半達到最低溫度,試問B值為何? (A)(B)(C)(D)π
15.平面上有三向量滿足、且=0。試問下列哪一個選項可能為的值? (A)(B)(C)(D)-1
16.有一組二維數據,i=1,2,...,n,其中x1,x2,...,的標準差為1.5,y1,y2,...,的標準差為2。已知y對x 的最適直線(也稱迴歸直線)方程式為y=0.6x+2。試問x和y 的相關係數為何? (註:最適直線方程式為,,其中為x1,x2,...,的算術平均數,為y1,y2,...,的算術平均數) (A)0.45 (B)0.6 (C)0.75 (D)0.8
18.甲、乙與其他三人共五人隨機排成一列,假設每一種排列方式出現的機率都相同。則甲、乙兩人之間恰有另一人的機率為何? (A)(B)(C)(D)
20.給定三角形ABC,其中,設D點在上使得三角形ABD形成一個等腰三角形。試問線段長度可能的最小值為何? (A)2 (B)(C)(D)