所屬科目:身心障礙升大專-數乙
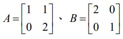
1.設矩陣。試求矩陣AB-BA 。(A)(B)(C)(D)
2.已知實數數列滿足,其中r>0且a1=1。試問a5等於下列哪個選項?(A) (1+r)4(B) (1+r)5(C)1+r+r2+r3+r4(D)1+r+r2+r2+r4+r5
3.已知多項式f(x)2x3-12x2+25x-23。試求y=f(x)圖形的對稱中心的x坐標。(A)2(B)3(C)4(D)6
4.不透明的袋中裝有5個紅球、3個白球,每個球被抽中的機率都相等。今從袋中一次抽出3個球,試求抽出的紅球個數多於白球個數的機率。(A)(B)(C)(D)
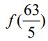
5.試求的值。(A)0(B)(C)(D)1
6.坐標平面上有一圓x2+y2+4x-6y-8=0。試選出正確的選項。(A)圓心在第二象限且(0,0)在此圓的內部(B)圓心在第四象限且(0,0)在此圓的內部(C)圓心在第二象限且(0,0)在此圓的外部(D)圓心在第四象限且(0,0)在此圓的外部
7.試問滿足絕對值不等式|√2x-√18|≤√210的整數x有幾個?(A)19(B)20(C)21(D)22
8.平面上有三角形ABC,其中。已知D為上一點,且,試求的長度。(A)2(B)3(C)√2(D)√7
9.已知f(x)與g(x)均為三次實係數多項式且滿足
f(x)+g(x)=(x-2)[f(x)-g(x)]
試問下列哪個選項必為g(x) 的因式?(A)x(B)x-1(C)x-2(D)x-3
10.已知 ,試問a、b滿足下列哪一個關係式?(A)b=2a(B)b=a+1(C)ab=a+1(D)ab=2
11.今有甲、乙、丙、丁四組數據,分列如下:
甲:10、50、80、100
乙:10、60、70、100
丙:10、50、90、100
丁:10、60、80、100
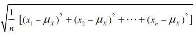
試問這四組數據中,哪一組的標準差最小?
【註:標準差=,其中為的算術平均數】(A)甲(B)乙(C)丙(D)丁
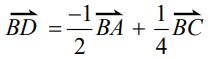
12.平面上有三角形ABC,已知向量,下列選項有關D的位置,試選出正確的選項。(A)D點在三角形ABC的內部(B)D點在三角形ABC的外部,且在角A的內部(C)D點在三角形ABC的外部,且在角B的內部(D)D點在三角形ABC的外部,且在角C的內部
13.坐標空間中有四點A(1,4,2)、B(-2,2,-4) 、C(5,-3,3) 、D(-4,0,-5),投影到yz平面後的投影點分別為A'、B'、C'、D'。設O為原點,試問這四條線段,哪一條長度最短?(A)(B)(C)(D)
14.設,其中π為圓周率,試選出與的值相等的選項。(A)f(0)(B)f(1)(C)f(7)(D)f(10)
15.甲、乙、丙、丁、戊、己六個人要排成一列進場,甲乙要相鄰,丁要排在甲跟丙中間,但丁與甲、丙不一定要相鄰。試問有幾種排列方式?(A)40(B)80(C)240(D)480
16.坐標平面上,設直線x+y=1、2x-3y=4、3x-2y=-4所圍的三角形區域為Γ。試問下列哪一個點落在Γ的內部?(A)(1,1)(B)(1,-1) (C)(-1,1) (D)(-1,-1)
17.某甲有五張圖卡,一張是邊長為6與8的長方形圖卡;有兩張是邊長為6、7、7的等腰三角形圖卡;最後兩張是邊長為8、7、7的等腰三角形圖卡。今某甲將這五張圖卡組合成以長方形圖卡為底面的四角錐。試求此四角錐的高。(A)2√6(B)2√3(C)3√2(D)4√6
18.過年時爸爸準備6個裝有壓歲錢的紅包,其中1個紅包裝3000元,2個各裝1200元,3個各裝600元,每個紅包被抽中的機率均相等。哥哥先抽出1個紅包,並告訴弟弟:「我沒有抽中3000元」。接下來輪到弟弟抽取1個紅包,試求此時弟弟得到壓歲錢的期望值。(A)1060元(B)1200元(C)1248元(D)1272元
19.平面上有一個三角形ABC,其外接圓半徑為7√3且圓心在三角形ABC的內部。已知,試求三角形ABC的面積。(A)54√3(B)90√3(C)108√3(D)180√3
20.某班有A、B、C、D、E、F、G、H、I等9個人,要分組進行報告,每一組最多4人,最少2人,例如ABC在同一組、DEF在同一組、GHI在同一組是一種可能的分組;ABCD在同一組,EFG在同一組、HI在同一組也是一種可能的分組。試問有多少種可能的分組?(A)2800(B)2940(C)4200(D)8820