所屬科目:身心障礙升大專-數乙
1. 數線上,同時滿足 的整數 x 有多少個? (A) 9 (B) 10 (C) 11 (D) 12
2. 已知一實係數多項式的餘式為 x +1, 則 f (x) 除 以 x-1的餘式為下列哪一個選項? (A) 1 (B) 2 (C) 3 (D) 4
3. 關 於 a= 三數的大小關係,試選出正確 的選項。 (A) a<b<c (B) a=b<c (C) b<c<a (D) c<a=b
4. 已知平面上相異三點 ABC , , 在一直線上且滿足 ,試 選出正確的選項。
5. 已知平面向量 的長度分別為 。若向量 垂直,則向量內積 為下列哪一個選項? (A) - √6 (B) - 2 (C) 2 (D) √6
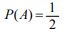
6. 設 P(E) 表示事件 E 發 生 的 機 率。已 知 A 與 B 為 獨 立 事 件,= 且 ,則機率 為下列哪一個選項? (A) (B) (C) (D) 1
7. 假設全校學生的體重統計資料呈現 常態分布,其平均數為 50 公 斤、標準差為 4 公斤。依據常態分布 68- 95- 99.7的規律,體重在下 列哪一個範圍內的學生人數占全校學生數的 81.5%?
註:常態分布的資料對稱於平均數 μ,且當標準差為 σ 時,該資料 大約有 68% 落在區間 內,約有 95% 落在區間 內,約有 99.7%落在區間 內。
8. 坐標平面上,已知二次函數 圖形的頂點為 A, 圖 形 的頂點為 B ,則線段 的長度為何? (A) (B) 4 (C) (D) 5
9. 在 坐 標 平 面 上,若 三 次 實 係 數 多 項 式 函 數 的圖形通過點 (4, -7) 及 點 (5, -7) , 則 f (0) 的值為下列哪一個選項? (A) -7 (B) - 5 (C) 5 (D) 7
10. 若 a 為整數,且,則滿足 的值為整數」的 a 有多少個? (A) 5 (B) 6 (C) 7 (D) 8
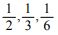
12. 有 一 種 按 鈕 對 獎 的 遊 戲,每 按 鈕 一 次 就 會 出 現 紅 燈、綠 燈 或 黃 燈, 其中出現紅燈、綠燈、黃燈的機率分別為 。每一回合的遊 戲 中,玩 家 連 續 按 鈕 兩 次( 假 設 兩 次 按 鈕 是 獨 立 事 件 ),當兩次出 現的燈號不同色時,無法獲得獎金;當出現的燈號同色時,可獲 得 200 元的獎金。依此遊戲規則,玩家每一回合的遊戲中可獲得 獎金的期望值最接近下列哪一個選項? (A) 74 (B) 78 (C) 82 (D) 86
13. 從 1,2,3, ,10 這 10 個整數中,取出 3 個相異數使得這 3 個數的幾何 平均數與中位數相等, 試問有多少種不同的取法? 註:三數 a,b,c 的幾何平均數為 。 (A) 2 (B) 3 (C) 4 (D) 5
14. 棒球選手的打擊率是以其個人 的「安打數」除以實際的「打數」 來 計 算,亦即 = 。假 設某 一 棒 球選手在前面 100 次 打 數的打擊率是 0.260,則在後面 150 次打數中至少須擊出多少支安 打,才能讓他在全部 250 次打數的打擊率達到 0.300? (A) 45 (B) 47 (C) 49 (D) 51
15. 小君有 5 套不同國家的世界盃足球球 衣,每一套球衣包含衣服與 褲子各一件。每天小君隨機挑一件褲 子與一件衣服來穿,已知昨 天穿的衣服與褲子是不同一套國家的球衣,試問今天從剩下的 4 件衣服與 4 件褲子中挑到同一套國家的球衣之機率為下列哪一選項 ? (A) (B) (C) (D)
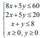
16. 已 知 x, y 滿足聯立不等式,求 6 9 x + y 的最大值為下列哪 一個選項? (A) 45 (B) 48 (C) 52 (D) 60
17. 若 2 x 2 階實數方陣 A 滿 足,則方陣 A 的行列式值 為下列哪一個選項?
(A) (B) (C) (D)
19. 在坐標平面上,小明由原點出發沿向量 = (1,2) 的方向直線等速 移動,同時間小華由點 (40,0) 出發沿向量 = -( 2,1) 的方向直線等 速移動。若小明與小華的移動速率相同,則兩人最接近的距離為下列哪一個選項? (A) 4 √10 (B) 5 √10 (C) 6 √5 (D) 7 √5