所屬科目:身心障礙升大專-數乙
1.坐標平面上,設A點坐標為(3,-2),A相對於直線y=x的對稱點為B、B相對於x軸的對稱點為C、C 相對於y軸的對稱點為D。試問長度為多少? (A) (B) (C) (D)
2.從1到9的整數當中隨機抽取相異三數,每個數字被抽中的機率皆相等。在抽到數字8的條件下,設此三數能夠構成三角形三邊長的機率為p,試選出正確的選項。 (A)(B) (C) (D)
3.已知二次函數y=f(x)的最高次項係數為-3,且其圖形與y=x2-3x-2 的圖形有相同的頂點。試問 f(1) 之值為何? (A)-2 (B)2 (C)-5 (D)5
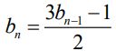
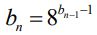
4.已知兩實數數列滿足,n=1,2,3,,且數列滿足遞迴關係式 。試選出滿足的遞迴關係式。 (A) (B)(C) (D)
5.坐標平面上,有一城市視為原點 (0,0)。今天有一個颱風生成,將 颱風暴風圈視為一個圓,其中心位置在 (-10,-13),且目前暴風圈 半徑為5單位長。根據預測,此颱風中心每天將沿著向量 (3,4) 的方向移動單位長,且半徑每天增加1單位長。試問最快幾天後, 該城市會進入颱風的暴風圈內? (A)一天後 (B)兩天後 (C)三天後 (D)四天後
6.有兩個面積相等的扇形區域,第一個區域的半徑為r,圓心角為銳角θ,而第二個區域的半徑為2r。試問第二個區域的圓心角等 於下列哪一個選項? (A) (B) (C)θ (D)2θ
8.已知三角形 ABC 的面積為32,為三角形 ABC 的最大邊。試問 的長度為何? (A) (B) (C) (D)
10.考慮平面上的向量=(-1,1)。試問下列選項中的向量,哪一個與的夾角為最小? (A) (-1,2) (B) (-2,3) (C) (-3,5) (D) (-5,8)
11.某公司連續三年的營收成長率分別為40%,60%,80%。令該公司 這三年的平均成長率為 r%,其中平均成長率為各年成長率的幾 何平均。試選出正確的選項。 (A)40≤r<50 (B)50≤r<60 (C)60≤r<70 (D)70≤r<80
14.設圓Γ的方程式為x2+y2=36。現將圓Γ沿鉛直方向等比例壓扁為原來的 ,試問所得的圖形可能為下列哪一個選項? (A)拋物線 (B)雙曲線 (C)圓 (D)橢圓
16.設a 為負整數。已知恰有10個整數同時滿足絕對值不等式|x-3|≤8與|x-a|>10 。試問a 值為下列哪一個選項? (A)-8 (B)-9 (C)-10 (D)-11
17.設ab, 為兩正實數,且滿足。試問loga之值為何? (A) (B) (C) (D)
19.設A、B、C為坐標平面上三相異點,A點坐標為(-1,-4)。已知三 直線AB、AC、BC的斜率分別為1、-1、-3 ,試問兩線段的比值為何? (A) (B) (C) (D)1
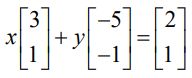
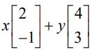
20.設xy,為實數,且向量 。試問等於下列哪一個選項中的向量? (A) (B) (C) (D)