16.某生用相關係數與迴歸直線分析下列甲、乙兩組二維數據:
甲組:(10,20)、(20,30)、(30,52)、(40,82)、(50,102)、(60,121)(70,148)
乙組:(10,30)、(20,20)、(30,52)、(40,82)、(50,102)、(60,121)、(70,148)
已知:
甲組二維數據的相關係數為r1,迴歸直線斜率為m1,
乙組二維數據的相關係數為r2,迴歸直線斜率為m2,
試選出正確的選項。
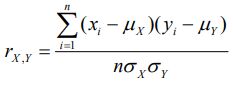
(註:二維數據(X,Y):(x1,y1),(x2,y2),...,
中,相關係數
。迴歸直線(最適合直線)方程式
,其中
分別為
的算術平均數,,
分別為
的標準差。)(A)r1>r2,且m1>m2(B)r1>r2,且m1<m2(C)r1<r2,且m1>m2(D)r1<r2,且m1<m2