所屬科目:身心障礙升大專-數乙
1. 數線上有兩點,試問下列哪一個點與上述兩點的距離均在 3 以內? (A)-2 (B)-1 (C)0 (D)1
3. 下列哪一個選項的解都是正數? (A) (B) (C)(D)
4. 設事件 A 發生的機率為 ,事件 B 發生的機率為, 且事件 A 與事件 B 為獨立事件。若 B表示事件 B 不發生的事件 ( 即 B 的餘事件),試問的值為何? (A) (B) (C) (D)
6. 設矩陣 。試問下列哪一個選項的矩陣可與矩陣 A 進行加法運算? (A) (B)[1 2] (C) (D)
7. 設實係數二次函數f(x)=ax2+bx+4的圖形經過點 (1,2)。試 問 下 列 哪 一個函數的圖形一定會經過點 (3,1)? (A)g1(x)=a(x+2)2+b(x+2)+5 (B)g2(x)=a(x+2)2+b(x+2)+3 (C)g3(x)=a(x+2)2+b(x-2)+5(D)g4(x)=a(x+2)2+b(x-2)+3
8. 已知f(x) =, 且 f (a)=100 、 f (b)=5。試問 f (a-2b)的值為何? (A) 4 (B) 10 (C) 75 (D) 90
11. 恆星的星等分為絕對星等 M 與視星等 N 兩種,其中絕對星等是指 恆星實際發光的強度,而視星 等是指地球所見恆星的亮度。兩者關係如下: ,其中 d 為恆星與地球的距離(單位:光年)。 若甲恆星與地球的距離為 27光年,視星等為 1,則其絕對星等 M 最接近下列哪一個選項? () (A) 1 (B) 1.5 (C) 2 (D) 2.5
12. 試問坐標平面上的向量= ( -1,3) 與下列哪一個選項的向量之夾角超過 90度 ? (A) (12,4) (B) (12,6) (C) (1,1) (D) (15,4)
13. 連續擲一公正骰子 3 次,試問前兩次相差的點數剛好等於第三次點數的機率為何? (A) (B) (C) (D)
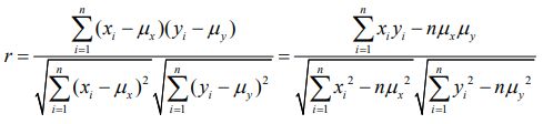
14. 下列哪一個選項中的二維數據(x1,y1), (x1,y2),... ,(x5,y5),其相關係數最大? (註:相關係數) (A) (1,3), (2,3) , (3,3), (4,3) , (5,3) (B) (1,2), (2,1), (3,3), (4,4), (5,5) (C) (1,1), (2,3) , (3,5), (4,7), (5,9) (D) (1,1), (2,4), (3,9), (4,16), (5,25)
15. 投擲某一特殊硬幣一次,出現正面的機率為,出現反面的機率為。設隨機變數 X 表示連續投擲此硬幣 3 次時,出現正面的次數。已知每次投擲均互相獨立,試問 X 的期望值為下列哪一個選項 ? (A) (B) (C) (D)
16. 坐標平面上有一個三角形 OPQ,其 頂 點 坐 標 分 別 為 O(0,0)、P(6,8)、 Q(2,4)。試問下列哪一個選項的行列式值恰等於三角形 OPQ 的面積 ? (A) (B) (C) (D)
20. 坐標平面上,三角形△ABC中, D為的中點, E在上且。已知內積, 則的值為何? (A) (B) (C) 2 (D) 3