所屬科目:身心障礙升大專-數乙
1. 已知二次實係數函數 f(x) = a(x-2)(x−b)+1,且 f(3)=1、f(4)=2。試問f(5)的值為何? (A) 3 (B) 4 (C) 5 (D) 6
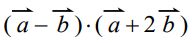
2. 平面上兩向量,若,且垂直。試問內積的值為何? (A) -8 (B) -2 (C) 0 (D) 1
3. 某颱風中心A點在北緯19.8度,東經123.9度的位置,氣象局預測此颱風會先沿緯線向西移動,之後再沿經線向北移動到B點,且A、B兩點在經緯度的差都不超過1度,試問B點的位置可能為下列哪一個選項? (A) 北緯20.1度,東經123.5度 (B) 北緯20.1度,東經124.3度 (C) 北緯19.5度,東經123.5度 (D) 北緯19.5度,東經124.3度
4. 設矩陣、B= [-1 2]、,試問矩陣A、B、C、D依序相乘所得出的矩陣ABCD為下列哪一個選項? (A)(B) [-1 2] (C)(D)
5. 滿足8≤|x-10|≤14的整數x共有幾個? (A) 6 (B) 7 (C) 12 (D) 14
6. 有一種特製的公正骰子,其六面的點數分別為1、2、3、6、7、8、若同時投擲此種骰子三顆,下列選項中,哪一個的機率最大? (A) 三顆點數總和為4 (B) 三顆點數總和為7 (C) 三顆點數總和為16 (D) 三顆點數總和為23
7. 平面上有一平行四邊形 ABCD,其中向量。設P為線段中點,Q在上,且=1:2,若,其中α, β為實數,則α+β的值為何? (A)(B) (C) 1 (D)
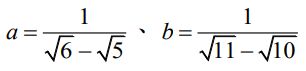
8. 令、c=√6-√5、d=√11-√10,試選出有關這四個數的大小關係的正確選項。 (A) a>b>c>d (B) a>b>d>c (C) b>a>c>d (D) b>a>d>c
9. 某遊戲設定:某角色「等級」每提升1級,其「屬性」都會變為原來的a倍,其中a為大於1的實數。已知此角色「等級」為1級時,「屬性」的值為16;「等級」為9級時,「屬性」的值為40。試問當此角色「等級」為25級時,其「屬性」的值為何? (A) 88 (B) 100 (C) 200 (D) 250
10. 某商店週年慶準備抽獎箱提供顧客抽獎,箱內有20張折扣券,其中標有「原價的10%」的有1張,「原價的50%」的有5張,「原價的80%」的有8張,其他都是「銘謝惠顧」,即沒有折扣。若每張折扣券被抽取的機率均相同,試問某甲買了一瓶原價20元的飲料並抽取1張折扣券,則某甲付款金額的期望值為多少元? (A) 12 (B) 15 (C) 16 (D) 18
11. 在一條筆直的道路旁邊,有排成一列高度相同的十根電線桿,已知任兩相鄰電線桿的間距皆相同。某甲用單點透視法將這十根電線桿畫在畫布上,畫布上的消失點為道路的盡頭。若最靠近某甲的電線桿稱為第1根,其他依序稱為第2根、第3根……第10根。試問下列有關畫布中電線桿的描述,何者 錯誤 ? (A) 所有電線桿的頂端會在同一直線上 (B) 任兩根電線桿的中點所連接的直線會通過消失點 (C) 第1根與第3根的距離會大於第2根與第4根的距離 (D) 第1根與第2根高度的比值等於第2根與第3根高度的比值
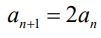
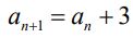
12. 設整數數列滿足以下規則:若第n項是奇數,則第n+1項會等於第n項的值乘以2倍,即;若第n項是偶數,則第n+1項會等於第n項的值加3,即。設 a1=1,已知此數列的第k-1項小於100,但第k項大於 100,試求k值為何? (A) 9 (B) 10 (C) 11 (D) 12
13. 令實係數二次多項式 f(x)的二次項係數為1。若 f(x)除以x+1的餘式為3,2f(x)除以x+2的餘式為a,3f(x)除以x+3的餘式為9,則a值為何? (A) 3 (B) 4 (C) 6 (D) 9
14. 某便利商店販售11種不同的飲料,其中600毫升的飲料有紅茶、綠茶……等6種,1200毫升的飲料有柳橙汁、芭樂汁……等5種。某甲去此商店購買飲料作為餐會使用,餐會總共需要 3.6 公升的飲料,且每種飲料最多選1瓶,例如柳橙汁、芭樂汁、紅茶、綠茶為其中一種購買飲料的選擇。試問某甲共有多少種不同購買飲料的選擇? (A) 11 (B) 30 (C) 236 (D) 461
15. 某人在大樓搭乘往下的電梯,一開始在電梯內 A點測得一樓某點 B的俯角是60°。當電梯下降9公尺時,在A點測得B點的俯角是45°。設此人到一樓時,A、B兩點相距x公尺,試問x的值為何? (A) 9√2 (B) (C)(D)
16. 令r、s為實數,若 0<r<、100<s<1000,試選出有關logs、10的大小關係的正確選項。 (A) > logs >1 (B) logs > >1 (C) logs>1> (D) 1>>log s
17. 坐標平面上有一圓 (x−1)² + y² = 25,以及圓上兩點 A(6,0)、B(−2,4)。設 L₁為通過A點且與此圓相切的直線、L₂為通過B點且與此圓相切的直線,且L 與L₂交於C點,試問 cos∠ACB的值為何? (A) (B)(C)(D)
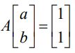
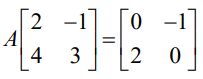
18. 設 A為二階實係數方陣,且,若,則a+b的值為何? (A) -1 (B) 0 (C) 1 (D) 3
19. 坐標平面上,直線y=+a與 y=0、x=4分別交於Q(b,0)、R(4,c),其中R點位於第一象限。P(4,0)為直線y=0、x=4的交點。若三角形PQR的面積為54平方單位,則a+b+c的值為何? (A) 7 (B) 9 (C) 12 (D) 14
20. 老師統計班上的小考成績,得出全班n位同學分數的平均值為a。若不計算考 100分甲同學的成績,其餘n-1位同學分數的平均值會等於a-2;若不計算考零分乙同學成績,其餘n-1位同學分數的平均值會等於a+3。試問n+a的值為何? (A) 60 (B) 75 (C) 81 (D) 90