所屬科目:身心障礙升大專-數乙
4.若定義直角坐標平面上P點與圓C的距離等於P點與圓C上任一A點之連線段的長度中最短者。則下列針對P(9,–3)與圓C:x2+y2+6x–4y–12=0的敘述,何者為完全正確? (A)P點在圓C外與圓C的距離為12 (B)P點在圓C外與圓C的距離為8 (C)P點在圓C內與圓C的距離為(D)P點在圓C內與圓C的距離為
6.已知A(2,–1)、B(–1,3)為直角坐標平面上兩點,若向量與向量垂直且長度為25,則下列何者正確? (A)(B) (C) (D)
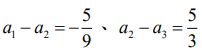
7.假設為一等比數列,且,則a7-a8=? (A)–405 (B)–45 (C)135 (D)1215
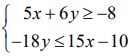
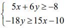
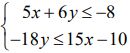
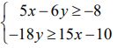
8.下列哪組直角坐標平面上之二元一次聯立不等式的解為無解? (A)(B)(C)(D)
9.設,則的整數部份為幾位數? (A)9 (B)10 (C)11 (D)12
10.若一元二次實係數函數y=f(x)=ax2+bx+c之圖形的頂點位於第三或四象限、且a<0,則關於一元二次實係數方程式ax2+bx+c=0的 解之敘述,下列何者正確? (A)無實數解 (B)有相同實數解 (C)有相異實數解 (D)以上皆是
11.若點P(a,b)在第四象限,則點在第幾象限? (A)一 (B)二 (C)三 (D)四
14.二次函數f(x)=-x2+2x+24 圖形的開口方向、頂點坐標各為何? (A)開口向上、頂點坐標(–1,–25) (B)開口向上、頂點坐標(–1,25) (C)開口向下、頂點坐標(1,25) (D)開口向下、頂點坐標(1,–25)
15.已知多項式f(x)=3x5-x4-2x3+6x2-7x+4,g(x)=x3-5x2-2,則f(x)✕g(x)的x5項係數為何? (A)10 (B)22 (C)30 (D)42
16.若多項式f(x)=x3-3x2+ax+4能夠被x-2整除,則a=? (A)0 (B)1 (C)2 (D)3
20.歡歡和樂樂兩人玩擲骰子比大小的遊戲,遊戲規則是兩人同時擲骰子,擲出數字比較高的人獲勝。歡歡擲出骰子六個面出現的點數分別為2、2、2、6、6、6;樂樂擲出骰子六個面出現的點數分別為5、5、5、5、1、1。則誰會贏?贏的機率是多少? (A)歡歡贏,贏的機率 (B)樂樂贏,贏的機率 (C)歡歡贏,贏的機率 (D)樂樂贏,贏的機率