所屬科目:身心障礙升大專-數乙
2. 下面哪一個選項的值最大? (A) log(√2 + √3) (B) log√2 + log√3 (C) (log√2) x (log√3) (D) log√6
3. 下 面 哪 一個 選 項是 方 程 式 的 解 ? (A) 1 (B) 3 (C) 5 (D) 7
4. 設 f(x) 和 g(x) 均為實係數一元二次多項式,並且滿足 f(0) + g(0) = 0,f(1) + g(1) = 0,f(2) + g(2) = 2。請選出正確的選項。(A) f(0) = 0 (B) f(0) + f(1) = 0 (C) f(3) + g(3) = 6 (D) g(1) + g(2) = 2
7. 甲、乙、丙 三 人隨 機 出 黑或 白 進行「 黑 白猜 」遊戲。如 果 三 人 都 出 同 一 種顏 色,就 繼 續 進行,直到出現 其中兩人都出同一種顏色, 而另一人不同顏色 時,就淘 汰 同 一種顏 色的 兩 人。請 問 一直 進 行 到 第 三 次結 束 才淘 汰 兩 人的 機 率為 何 ? (A) (B) (C) (D)
9. 直角三角形 ABC , ∠C 為直角,線段邊上的高,下面有關向量內積的選項,哪一個是正確的?(A) (B) (C) (D)
12. 電 信 公 司推 出 甲、乙 兩 種手 機 通話 方 案,甲 案 基本 通 話 費每 月 600 元並奉送 60分 鐘 免 費 通 話 , 乙 案 基 本 通 話 費 每 月 300元 但 不 奉 送 免 費 通 話 。 經 過 長 期 追 蹤 , 每 月 甲 案 使 用 者 有 40%改 為 乙 案 使 用 者 , 而 每 月 乙 案 使 用 者 有 30%改 為 甲 案 使 用 者 , 其 餘 的 人 保 持 原 方 案。下列 哪 一個 選 項 中的 矩 陣代 表 上 述甲、乙案 在 連 續兩 個 月 使 用 人 數百 分 比的 轉 移 矩陣 ? (A) (B) (C) (D)
14. 符號 P (X) 代表事件 X 發生的機率。已知 A 和 B 為獨立事件, B 和 C 為 獨立事件, A 和 C 為獨立事件,、 、 。問 等於多少? (A) (B) (C) (D)
15. 坐標平面上給定 A( -1, 0 )、B( 1, 0 ) 兩點 , 另有一點 P( a , b ) 在直線 2x + y = 1 上,已知 a > 0 且向量 互相垂直。問 a + b 等於多少? (A) (B) (C) (D)
16. 設 a b c d , , , 為常數,已知 (1,3,2) 是方程組 的解,且此方 程組另有其他解。問b+c+d 等於多少? (A) 14 (B) 20 (C) 26 (D) 32
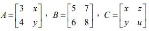
17. 已知 x y z u , , , 為實數, ,且 AB= C 。 問x-y+z-u等於多少? (A) -1 (B) 0 (C) 1 (D) 2
19. 甲、 乙兩隊進 行冠軍 爭霸戰, 採五戰 三勝制, 只要有 一隊先贏 3 場該隊就是冠軍,且賽事結束,不再舉行剩餘的比賽。假設每一場 比賽,甲隊贏的機率都是 ,且所有場次間的勝負都互不影響。問 比賽比到第五場才產生冠軍的機率是多少? (A) (B) (C) (D)
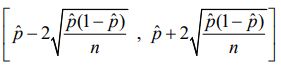
20. 丟擲一銅板 100 次,恰好出現 50 次正面。設該銅板出現正面的機 率為 p,則 p 在 95%信心水準下的信賴區間最符合下列哪一選項? 註 : 95%信 心 水準 下 的 信賴 區 間為 (A) (B) (C)(D)