所屬科目:四技二專統測◆數學A
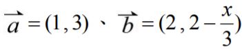
2. 若兩向量互相垂直,則 x = ? (A) 5 (B) 6 (C) 7 (D) 8
4. 設 θ 為第三象限角。若sinθ cosθ = ,則 sinθ + cosθ = ? (A)(B) (C) (D)
5. 設一元二次方程式 的二根差為 1,則 k = ? (A) 1 (B) 2 (C) 3 (D) 4
6. 若 除以 的餘式為 ax + b ,則 a + b = ? (A) -14 (B) - 4 (C) 4 (D) 14
7. 下列何者與 的圖形最相近? (A) (B) (C) (D)
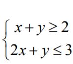
8. 下列何者陰影區域為聯立不等式 之圖解? (A) (B) (C) (D)
9. 設袋中共有 50 元硬幣4枚、10 元硬幣 5枚、5元硬幣 6 枚,某人由袋中任取硬幣一枚。若 每枚硬幣被取出的機率均等,且其取得硬幣金額的期望值為 m 元,則下列何者正確? (A) 18≤ m <19 (B) 19 ≤ m < 20 (C) 20≤ m < 21 (D) 21≤ m < 22
10. 已知某校對大一新生 1125 人所進行之基礎數學測驗成績近似常態分配,如圖 ( 一 ) ,且 考試成績的平均分數為 60 分、標準差為 10 分。若測驗成績低於 50 分者需加修基礎數學 輔導課程,則需加修該課程的人數為何? (A) 小於或等於100人 (B) 介於101人與200人之間 (C) 介於201人與300人之間 (D) 介於301人與400人之間
12. 求 sin 480° + cos300° + tan225° = ? (A) 0 (B) 1 (C) 2 (D) 3
13. 若向量 = (x , y) 與向量 = (-5,12) 的方向相反,且 =52 ,則 x + y = ? (A) - 68 (B) - 28 (C) 28 (D) 68
15. 若將 75,65,58,80,72 每個數都乘以 後再加 9,則所得新的五個數之平均數為何? (A) 65 (B) 70 (C) 75 (D) 80
16. 已知 a,b,c,d 均為實數,則下列敘述何者恆真? (A) 若 a > b,則| a| > |b| (B) 若 a > b 且 c > d ,則 ac > bd (C) 若 a > b 且 ab ≠ 0 ,則 (D) 若 a > b ,則 a7 > b 7
17. 在| x |+| y| ≤1 的條件下,求函數 f (x , y) = 2x -3y 的最大值為何? (A) - 3 (B) - 2 (C) 2 (D) 3
19. 自一副有52張牌之撲克牌(有黑桃、紅心、方塊、梅花四種花色,每種花色各有點數2至 10點及J、Q、K、A共13張牌)中同時抽取2張。若每張牌被抽取的機會均相等,則抽到 一張黑桃及一張紅心,且二張牌均為點數2至10點的機率為何? (A) (B)(C) (D)
20. 求 (log2 27 - log4 9)(log 316 - ) = ? (A) 8 (B) 10 (C) 12 (D) 15
22. 已知 除以 的餘式為 3x + 4 。若 f (x) 除以 的餘式為 cx2 + dx + e ,則 c = ? (A) 3 (B) 4 (C) 103 (D) 104
23. 已知△ABC 中, A = 60°, = 5,a +b = 7 ,如圖(二),則 a = ? (A) (B) 3 (C) 4 (D)
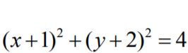
24. 設 P 為圓的圓心。若自圓外一點 Q(5, 6) 向此圓作一條切線,切點為 R ,則 △PQR 的面積為何? (A) (B) 2(C) 4 (D) 8
25. 設 0 ≤ x ≤ 2π ,求函數的最小值為何? (A) 1 (B) 2 (C) 3 (D) 4