所屬科目:四技二專統測◆數學A
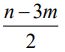
1.若x≠0且,則n=? (A)2 (B)(C)(D)
2.求=? (A)–1 (B)0 (C)4 (D)5
3.求2sin(-30°)+cos(0°)+tan(135°)=? (A) (B) (C)–1 (D)1
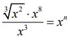
5.下列何者錯誤? (A)(B)(C)(D)
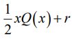
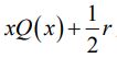
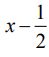
6.已知多項式f(x)除以2x-1的商式為Q(x),餘式為r,則xf(x)除以的商式及餘式分別為多少? (A)商式為及餘式為xr (B)商式為2xQ(x)+r及餘式為 (C)商式為及餘式為r (D)商式為及餘式為
8.若f(x)=ax2+bx+5在x=1處有極大值8,則b=? (A)8 (B)6 (C)–4 (D)–6
9.已知a=sin20°,b=cos20°,c=sin45°,則下列敘述何者正確? (A)b>c>a (B)a>c>b (C)a>b>c (D)c>a>b
12.若一球自離地面高度為25公尺的地方落下,每次撞到地面後垂直反彈到上次高度的,則此球第2次反彈到該次最高點,共經過路徑多少公尺? (A)98 (B)89 (C)73 (D)64
13.已知函數f(x)=,如果這個函數的圖形會通過第一、二、 三象限,則b值應該為多少比較恰當? (A)2.5 (B)0.5 (C)–0.5 (D)–2.5
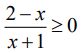
14.若,則x的解為何? (A)-1≤x≤2 (B)-1<x≤2 (C)x≥2或x≤-1 (D)x≥2或x<-1
16.若-1<x<2,則|2x+3|+|x-3|-6=? (A)x (B)3x-6 (C)-3x-6 (D)-x-6
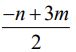
17.已知log75=m,log3=n,則=? (A)(B)(C)(D)