所屬科目:四技二專統測◆數學A
2. 在ΔABC 中,若,則 cosB 之值為何? (A)(B) (C)(D)
6. 試求的首數為何? (A) 2 (B) 3 (C) 4 (D) 5
10. 曉欣在岸邊游泳,以仰角45°望向水面上一艘船的最高點。若曉欣與船最高點的水平距離是20公尺,則船的最高點在水面上高度約多少公尺? (A) 20 (B) (C) (D) 45
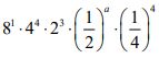
11. 若=1,則 a 之值為何? (A) 6 (B) 7 (C) 8 (D) 9
12. 試求之值為何? (A)log34 (B)log33 (C)log32(D)log31
13. 一個半徑為5的圓,其圓心為(3 , – 4)。若一直線通過原點(0 , 0)且與此圓相切,則直線斜率為何? (A) (B)(C)(D) 3
15. 有一等差數列,其中,則之值為何? (A) 167 (B) 185 (C) 217 (D) 235
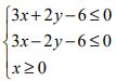
17. 若二元一次聯立不等式的圖解區域為 M,則圖形 M 所圍的面積為多少平方單位? (A) 4 (B) 6 (C) 8 (D) 12
19. 某一鄰共有 20 戶,每戶最少 1 人。若表(一)為其每戶人數的以下累積次數分配表,試問該鄰每戶人口數的眾數為何? (A) 3 每戶人數 以下累積次數 (B) 5 (C) 6 (D) 8
20. 茜茜與珊珊和其他 3 位同學相約出國畢業旅行,已知旅行社分配第 11 排的 A、B 及第13 排的 C、D、E 五個機位給這 5 位同學,如圖(一)位置。若茜茜與珊珊要求坐在相鄰位置,則旅行社共有幾種滿足此要求的機位分配方法? (A) 12 (B) 24 (C) 36 (D) 48
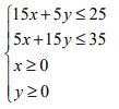
22. 假設每人每天至少需要攝取 35 毫克的營養成分 A 及 25 毫克的營養成分 B。已知市面上 有甲、乙兩種食品,甲食品每單位含有 15 毫克的營養成分 A,5 毫克的營養成分 B;乙 食品每單位含有 5 毫克的營養成分 A,15 毫克的營養成分 B。若購買 x 單位甲食品、y 單 位乙食品且符合每日所需攝取的營養成分,則下列何者為滿足題意之聯立不等式? (A) (B)(C) (D)