所屬科目:專科學力鑑定◆專(一):工程數學
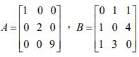
1. 若矩陣 ,則 AB =?
(A) (B) (C) (D)
2. 設函數 f (t) 的拉氏轉換(Laplace transform) =? (A) (B) (C) (D)
3. 下列何者為恰當( exact)微分方程式? (A) (B)
(C)
(D)
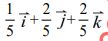
4. 為三維空間中的三個基本單位向量,且則與 同方向的單位向量為何?
5. 若 y 滿足 ,且 y(1) = 4 ,則 y(4) =? (A) 4 (B) 8 (C) 16 (D) 32
6. 若週期函數 , f (x + 4) = f (x) , 且 f (x) 的傅立葉級數為,則 b3 =? (A) (B) (C) (D)
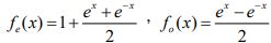
7. 設函數 ,其中 fe(x) 為偶函數而 fo(x) 為奇函數,則 下列敘述何者正確?
(A) (B)
(C) (D)
8. 設的夾角為何?
(A) 0 ° (B) 30 ° (C) 60 °(D) 90°
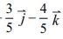
9. 設矩陣 ,若 C = A+ B ,則 C 的行列式值為何? (A) 0 (B) 1 (C) 2 (D) 25
10. 若 m,n 為實數,且=0為恰當微分方程式,則 m + n =?
11. 若 y 滿足 ,則 y(0) =? (A) 1 (B) 2 (C) 3 (D) 4
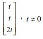
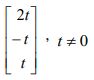
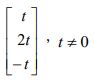
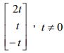
12. 若 m 為實數,且 ,則 m 會滿足下列何式?
13. 下列何者為微分方程式 的特解?
(A) y = -3cos3t - 4sin3t (B) y = -4cos3t -3sin3t (C) y = 3cos3t + 4sin3t (D) y = 4cos3t + 3sin3t
14. 若 f (x) = |sin x| 的傅立葉級數為則 a2 =?
(A) (B) (C) 0 (D)
15. 設向量同方向。若,則 b1=? (A) 6 7 (B) 5 7 (C) 4 7 (D) 3 7
16. 若三維空間中二向量 =?
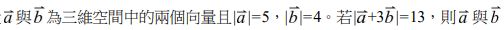
17. 若 ,則 a =? (A) - 52 (B) (C) 51 (D)
18. 當矩陣特徵值為 - 5 時,所對應之特徵向量為何?
(A) (B)(C) (D)
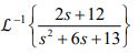
19. 求反拉式轉換(inverse Laplace transform) =?
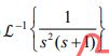
20. 求反拉氏轉換(inverse Laplace transform) =? (A) (B) (C) (D)