所屬科目:專科學力鑑定◆專(一):工程數學
1. 求(2y2+cos x)dx+2y(x-2)dy=0的積分因子?(A)(B) x-2 (C) x (D) 1
2. 下列何者為二階齊次( homogeneous)線性常係數常微分方程式?(A)3x2y"-2xy'+2y=0(B)3y"-2y'+4sin y=0(C)3y"-2y'+2y=0(D) xy"-2x2(y')2+2y= 0
3. 下列何者為非齊次微分方程式y"-4y'=2e2x的通解( general solution )?(A)y=C1xe2x+C2x2e2x+e2x ,其中C1、C2為常數(B)y=C1e-2x+C2xe-2x+x2e2x,其中C1、C2為常數(C)y=C1e2x+C2e-2x+x2e2x,其中C1、C2為常數(D)y=C1e2x+C2xe2x+x2e2x,其中C1、C2為常數
4. 下列何者為微分方程式y"+6y'+13y=0的通解( general solution)?(A)y=e-3x(Acos2x+Bsin2x),其中 A、B 為常數(B)y=e3x(Acos2x+Bsin2x),其中A、B 為常數(C)y=e-2x(Acos3x+Bsin3x),其中 A、B 為常數(D)y=e2x(Acos3x+Bsin3x),其中A、B 為常數
5. 下列的一階常微分方程,何者符合正合( exact)微分方程式定義?(A)(2xy2-5x)+(4y4+x3+3x+5y)y'=0(B)( 2ln+x2y3)+y2(1+x3) y'=0(C)(x2y3-3x-2y)+(x2y2+x)y'=0(D)( cosx2-2ysinx)+(xsin y+x2y)y'=0
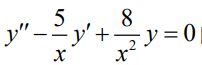
6. 下列何者為微分方程式的通解( general solution)?(A)y=C1x+C2x5,其中C1、C2為常數(B)y=C1x2+C2x4,其中C1、C2為常數(C)y=C1x2+C2x3,其中C1、C2為常數(D)y=C1x2+,其中C1、C2為常數
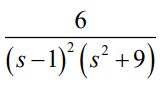
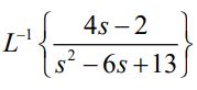
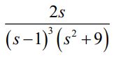
7. 已知拉氏轉換(Laplace transform) L {sin ωt}=求反拉氏轉換(inverse Laplace transform)為下列何者?(A)e3t(4cos2t- 5sin2t)(B)e3t(5cos2t-4sin2t)(C)e3t(4cos2t+ 5sin2t)(D)e3t(5cos2t+4sin2t)
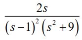
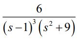
8. 已知f(t)=t2et,g(x)=sin3t,求L{f(t)*g(t)} 為何?【f(t)*g(t)表函數f(t)與g(t)的褶積( convolution ) 】(A)(B)(C)(D)
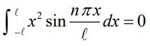
9. 下列敘述何者正確?(A),其中n =1,2,3,...(B),其中n =1,2,3,...(C),其中n =1,2,3,...(D),其中n =1,2,3,...
10. 若週期函數f(x)為偶函數,且其週期為, f(x)的傅立葉級數(Fourier series)可表示為,則下列敘述何者正確?(A) f(-x )=-f(x) (B) A0≠ 0, An ≠0,Bn≠0,n= 1,2,3,...(C)A0=0,An=0,Bn≠0,n= 1,2,3,...(D)A0≠ 0, An ≠0,Bn=0,n= 1,2,3,...
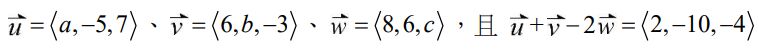
11. 若向量,則a-b-c=?(A) -1(B) 0 (C) 1 (D) 2
12. 已知三維空間中兩向量 ,則t =? (A)-5 (B)-3 (C) 3 (D) 5
13. 已知向量之外積為何?(A)-46 (B) 45 (C)[14,33, -4] (D)[50,-15,-20]
14. 有一平行六面體之三邊可用三個向量表示,若向量、=6, 2,9 ,則該平行六面體體積為何?(A) 19 (B) 38 (C) 57 (D) 80
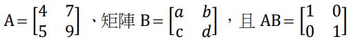
15. 若矩陣A=,若(2A + B)C=,則b-a =?(A)-1 (B) 0 (C) 1 (D) 2
16. 若矩陣 ,則下列何者可計算?(A) A+B (B) ATB (C) BTA (D) AAT+BTB
17. 求矩陣A=的秩(rank)為何?(A) 1 (B) 2 (C) 3 (D) 不存在
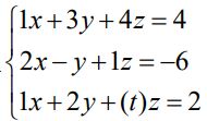
18. 已知 t 為實數,若下列線性方程組 ,有無限多組解,則t =? (A) 0 (B) 1 (C) 2 (D) 3
19. 已知矩陣A=,恰有一個特徵值,且 a, b 為實數,則ab=?(A) -1(B) 0 (C) 1 (D) 2
20. 若矩陣,則a-d=?(A) -13 (B) -5 (C) 5 (D) 13