所屬科目:專科學力鑑定◆專(一):工程數學
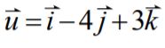
1. 已知 為三維空間中的三個標準基底向量。若向量 ,向量 ,則內積 = ? (A) -5 (B) 5 (C) 59 (D) 60
2. 已知三維空間中兩向量 ,若, 夾角為θ ,則 cosθ = ? (A) 1 / 14 (B) 5 / 14 (C) 7 / 14 (D) 11 / 14
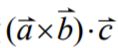
3. 若向量,則純量三重積之值為何? (A) 2 (B) -8 (C) -10 (D) -18
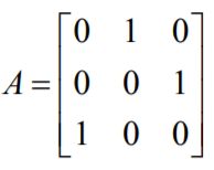
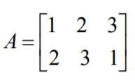
4. 若矩陣,則 A 2 = ? (A) (B) (C) (D)
5. 若矩陣,矩陣 ,則下列何者可計算? (A) AB+ B(B) AT B (C) (D)
7. 求 之值為何? (A) -18 (B) 0 (C) 36 (D) 38
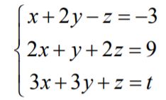
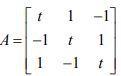
8. 已知 t 為實數,若下列線性方程組有無限多組解,則 t = ? (A) 9 (B) 6 (C) -6 (D) -9
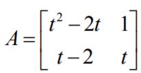
9. 已知 t 為-1, 0 ,1, 2 其中之一數,若矩陣有反矩陣,則 t = ? (A) -1 (B) 0 (C) 1 (D) 2
10. 已知 b , c 為實數,若矩陣 恰有一個特徵值,則 bc = ? (A) 2 (B) 1 (C) 0 (D) -1
11. 已知有一常微分方程,下列敘述何者正確? (A) 此微分方程方程為可變數分離(separation of variable ) (B) 此微分方程方程為非線性( nonlinear) (C) 此微分方程方程階數( order)為2019 (D) 此微分方程方程僅有2019個相異解
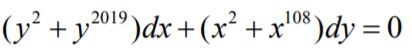
12. 下列的一階常微分方程,何者符合正合( exact)微分方程式的定義? (A) (B) (C) (D)
13. 已知一階常微分方程,下列何者為其積分因子(integrating factor)? (A) (B) (C) (D) xy
14. 試問下列選項哪一個微分方程式,可以利用代換 求其特徵方程式( characteristic equation )? (A)(B) (C) (D)
15. 試問下列選項哪一個微分方程式,可以利用代換 求其特徵方程式? (A) (B)(C) (D)
16. 試問下列選項哪一個微分方程式,可以利用代換求其特解? (A) (B) (C) (D)
17. 下列有關反拉普拉斯轉換(inverse Laplace transform)的敘述何者恆為正確? (A) (B) (C)(D)
18. 已知函數的拉普拉斯轉換(Laplace transform)定義為 , 下列敘述何者正確? (A) (B) (C) (D)
19. 下列選項中,哪一個函數的傅立葉級數(Fourier series)其類型? (A) (B) (C) (D)
20. 已知連續函數為週期函數且週期為 2,若,下列選項何者 最有可能是 y 的傅立葉級數? (A) (B) (C) (D)