所屬科目:專科學力鑑定◆專(一):工程數學
1. 下列何者為微分方程式y''-3y'+2y=0的通解(general solution)? (A),其中 C1 , C2 為常數 (B) ,其中 C1 , C2 為常數 (C),其中 C1 , C2 為常數 (D) ,其中 C1 , C2 為常數
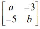
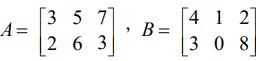
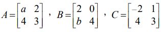
3. 若矩陣 。若(A+B)C=,則a-b=? (A) 0 (B) 1 (C) 2 (D) 3
4. 已知向量。若向量之內積為15(亦即=15),則 a =? (A)-6 (B) 0 (C) 6 (D) 12
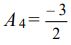
5. 若向量,且 ,則2a+y=? (A) 12 (B) 8 (C) 0 (D)-4
6. 若2為矩陣的一個特徵值,則下列何者也是 A 的特徵值? (A) 3 (B) 5 (C) 7 (D) 9
7. 下列何者為微分方程式x2y''+7xy'+5y=0 的通解(general solution)? (A),其中C1 , C2為常數 (B) ,其中 C1 , C2為常數 (C),其中C1 , C2為常數 (D),其中C1 , C2為常數
8. 下列何者為非齊次微分方程式y''-6y'+9y=的通解(general solution)? (A),其中C1, C2為常數 (B),其中C1, C2為常數 (C),其中C1, C2為常數 (D),其中C1, C2為常數
9. 下列的一階常微分方程式,何者符合正合 (exact) 微分方程式的定義? (A)(2xy+y)dx+(x2-2)dy=0 (B)=0 (C)(2xy3+2x+y)dx+(3x2y2-x+y)dx=0 (D)=0
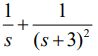
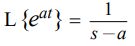
10. 已知拉氏轉換(Laplace transform),則反拉氏運算(inverse Laplace transform) 為下列何者? (A) (B) (C) (D)
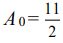
11. 已知週期函數f(x)=3sin22x-4cos3x ,傅立葉級數(Fourier series)可表示為f(x)=A0+A1cosx+A3cos3x+A4cos4x,則下列敘述何者錯誤? (A) (B)A1=-3 (C)A3=-1 (D)
12. 已知週期函數f(x)=4+3sin2x ,其週期為π,傅立葉級數(Fourier series)可表示為f(x)=,則下列敘述何者錯誤? (A) (B) (C) (D)
13. 有一平行六面體之三邊可用三個向量表示,若向量=〈 1,2,3〉 ,= 〈 3, 2, – 2〉 , =〈 4,0,3〉 ,則該平行六面體體積為何? (A) 10 (B) 16 (C) 20 (D) 36
14. 已知向量 =〈 2,4,a〉 ,=〈3,2,1〉 。若向量之外積為向量〈–2 ,– 8,+7〉 ,(亦即=〈–2 ,+7, -8〉 ),則 a =? (A) 1 (B) 2 (C) 3 (D) 5
15. 已知,若表示矩陣 B 之轉置矩陣,則=? (A) (B)(C)(D)
16. 若矩陣A= ,矩陣B= 且 AB= ,則 a+b=? (A) 20 (B) 12 (C) 10 (D)-6
17. 下列各矩陣中,何者有反矩陣(inverse matrix)? (A) (B) (C) (D)
18. 求(x3+y2+sinx)dx+(xy)dx=0 的積分因子? (A) (B) 1 (C)x (D) x2
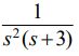
19. 已知 f(t)=1 , ,求,其中表函數 f(t) 與 g(t) 的褶積 (convolution)? (A)(B)(C)(D)
20. 若向量是矩陣對應於特徵值 λ =1 的特徵向量,則 a =? (A) 0 (B) -4 (C) -8 (D) -10