所屬科目:專科學力鑑定◆專(一):工程數學
1. 兩函數 f (t) 與 g(t) 的旋積 ( Convolution ) 定義為,已知為下列何者? ( 請參考最後一頁表一拉氏轉換表) (A) (B) (C) (D)
2. 若向量 ,則向量 ?
(A) -10 (B) 72 (C) (D)
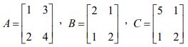
3. 已知三矩陣: ,則(A+3B)C=?
(A) (B) (C) (D)
4. 若矩陣 的行列式值為7,則a=? (A) - 2 (B) 1 (C) 2 (D) 5
5. 已知微分方程式 的通解( general solution )為 x y(x) = (A+ Bx) e ,若 y(x) 滿足 初始條件(initial condition ) y(0) =1, y '(0) = 2 ,則 A+ B 之值為何? (A) -1 (B) 0 (C) 2 (D) 3
6. 已知 為三維空間中的三個基本向量。若向量 ?
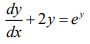
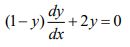
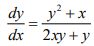
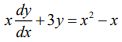
7. 下列何者為線性(linear)一階常微分方程式? (A) (B) (C) (D)
8. 下列何者為微分方程式 的通解( general solution)? (A) (B) (C)(D)
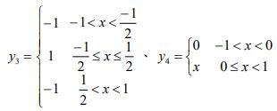
9. 已知四個函數 y sin x 1 = - 、 y cos x 2 = 、 y3 = ,則下列何者正確? (A) y 1與 y 3 是奇函數 (B) y2 與 y4 是偶函數 (C) y1 與 y4 是奇函數 (D) y2 與 y3 是偶函數
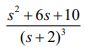
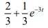
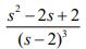
10. 已知函數的拉氏轉換(Laplace transform)為下列何者? ( 請參考最後一頁表一拉氏ℒ ( f ) 轉換表 ) (A) (B) (C) (D)
11. 若 y(x) 為初始值問題 (initial value problem ) 的解,則 y(1) = ? (A) (B) (C) cos(1) + 2sin(1) (D) 0
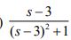
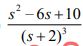
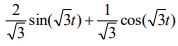
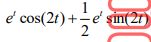
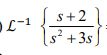
12. 求反拉氏轉換 ( inverse Laplace transform )? ( 請參考最後一頁表一拉氏ℒ ( f ) 轉換表 ) (A) (B) (C) (D)
13. 下列何者為恰當( exact)微分方程式? (A) (B) (C) (D)
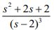
14. 求反拉氏轉換(inverse Laplace transform) ? ( 請參考最後一頁表一拉氏ℒ ( f ) 轉換表 ) (A) (B)(C) (D)
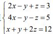
15. 聯立方程組 的解中, x =? (A) -1 (B) 1 (C) 3 (D) 5
16. 若向量 ? (A) (B) (C) 12 (D) 25
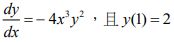
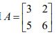
17. 若 ,則 y(0) = ? (A) - 2 (B) -1 (C) 1 (D) 2
18. 下列何者為非齊次(nonhomogeneous)微分方程式 的通解(general solution)?
19. 若矩陣 ,則下列何者為矩陣 A 的特徵值? (A) - 2 和3 (B) -1 和5 (C) 1和8 (D) 3和12
20. 已知週期函數 , f (x + 2π) = f (x) ,若 f (x) 的傅立葉級數為 之值為下列何者? (A) (B) (C) (D)