所屬科目:身心障礙升大專-數乙
1. 有關不等式的解,請選出正確的選項。 (A) x < 3 (B) x > 0 (C)(D) 無解
2. 下面哪一個選項是方程式 的根? (A) -1 (B) (C) (D)1
3. 實係數三次多項式 滿足 , 則其二次項的係數為下列哪一個選項? (A) -1 (B) -2 (C) -3 (D) -4
4. 坐標平面上連接(2, log 2)和的直線與直線 y- x = 0垂直,則a 是下列哪 一個選項? (A) 0 (B) 1 (C) (D) log 2
5. 下列四個選項中的值,哪一個最大?(近似值: ) (A) log150 (B) (C) 100.3(D)
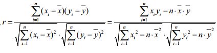
9. 12 筆二維數據 中,有 4 筆為(0,1) ,4 筆為(1,1) , 4 筆為(1,0) 。則此 12 筆二維數據的相關係數為下列哪一個選項? (相關係數 ) (A) (B) (C) (D)
11. 坐標平面上三條直線: ,圍出一個正三角形, 請問k 的值為下列哪一個選項? (A) (B) (C) (D)
13. 平面上有三向量,(1,1)、( -1,1) 和 ( x , y )。如果( x , y ) = a( 1, 1 ) + b( -1 , 1 ), 則 是下列哪一個選項? (A) (B) x2(C) y2(D) x2 y2
15. 平面上向量 和 的長度均為 1,向量+的長度為,請問 的 長度是下列哪一個選項? (A) 1 (B) (C) 2 (D)
16. 有一個三元一次聯立方程組的增廣矩陣,經由若干次高斯消去法後變成 ,則原方程組的解滿足下列哪一個性質? (A) 恰有一組解 (B) 無法判斷是否有解 (C) 無解 (D) 有無限多組解
17. 坐標平面上有 4 點,坐標分別為(5, 4)、(8, 3)、(3, 3)、(7, 2),前兩點組成 A 組,後兩點組成 B 組。斜率為的直線中,有些能將 A、B 兩組隔開,也 就是讓 A、B 兩組落在該直線的兩側,所有滿足這種條件的直線形成一個如 兩平行線之間範圍的帶狀區域,問此區域的寬度(即兩平行線距離)為下列 哪一個選項? (A) 0.1 (B) 0.2 (C) 0.3 (D) 0.4
18. 有一個轉移矩陣 ,已知 並且a>b ,則a 的值是 下列哪一個選項?(其中, A 2代表 A和 A的乘積) (A) 0.2 (B) 0.4 (C) 0.6 (D) 0.8
19. 遊樂場中有一台機器,顧客可以用按鈕的方式和機器玩剪刀、石頭、布的遊 戲。顧客和機器隨機出剪刀、石頭、布的機率都是。遊樂場規定,每次按 鈕,顧客如果贏,得 2 分;平手顧客得 1 分;顧客如果輸,得-1分。請問顧 客按鈕一次得分的期望值是下列哪一個選項? (A) 分 (B) 分 (C) 1分 (D) 0分
20. 一個遊戲,參加者每玩一局要連續投擲一枚公正的硬幣 5 次。投擲時每出現 一次正面,玩家贏 100 元,每出現一次反面,玩家輸 100 元。例如出現 3 次 正面 2 次反面,玩家最後可得 100 元()。但是,有一 個例外的情形,就是如果連續出現 5 次正面,規定玩家贏 820 元。請問玩家 玩一局,贏錢的期望值是下列哪一個選項? (A) 5元 (B) 10元 (C) 15元 (D) 164元