所屬科目:身心障礙升大專-數甲
1. 在平面上,若一直線將半徑為 8 的圓截出長度比為5:1的大小兩個圓弧,則圓 心到此直線的距離為下列哪一個選項? (A) 4(B) 4 (C) 8 (D) 8
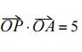
2. 在坐標平面上,考慮原點O 及點 A(2,3) 。滿足 的所有點 P 會構成 一條斜率為m 的直線,請選出正確的選項。 (A) (B) (C)(D)
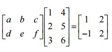
3. 已知。請問 a + b + c + d + e + f 之值為下列哪一個選項? (A) 0 (B) (C) 1 (D)
4. 已知兩個實係數多項式與 的餘式分別為 x + 2 與 x + 3。請問的餘式為下列哪一個選項? (A) 12 (B) 14 (C) 16 (D) 18
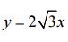
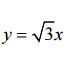
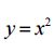
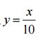
5. 坐標平面上,令O 為原點。已知函數圖形 與 的交點為O 、 P ; 函數圖形與 的交點為O 、Q ,則△OPQ的面積為下列哪一個 選項? (A) 3 (B) 6 (C) 6 (D) 12
6. 請問滿足的整數k 共有多少個? (A) 30 (B) 32 (C) 34 (D) 36
7. 在平地上某點測得前方垂直高塔塔頂的仰角為θ 1 ;向高塔前進100公尺之後, 重新測得塔頂仰角為θ 2 。經查表得知 ,請問塔高最 接近下列哪一個選項? (A) 90公尺 (B) 100公尺 (C) 110公尺 (D) 120公尺
8. 三邊長分別為 5、6、7 的三角形,其外接圓直徑2R 會滿足下列哪一個關係? (參考數值:) (A) (B) (C) (D)
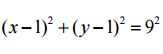
10. 考慮坐標平面中的三條直線 ,。已知圓恰與 L1、L2、L3其中的兩 條直線相交,則Γ 的半徑 r 有可能是下列哪一個選項? (A) 1 (B) 2 (C) 3 (D) 4
11. 若連續三年的經濟成長率分別為a%、b%、c%,則滿足等式的x%稱為這三年的平均經濟成長率。 已知前兩年的經濟成長率分別為-1%與0%,若要讓三年的平均經濟成長率 超過 10%,則第三年至少需要r%的經濟成長率。請選出正確的選項。 (A) (B) (C) (D)
12. 設a > 0且為二次方程式 的一個解。請選出正確的選項。 (A) (B) (C) (D)
13. 坐標平面上, x 坐標與 y 坐標均為整數的點稱為「格子點」。請問三直線所圍成的三角形三邊上共有 多少個格子點? (A) 8 (B) 10 (C) 12 (D) 14
15. 請問cot1, cot, cot ,... , cot 這10個數值當中有幾個大於零? (A) 2個 (B) 3個 (C) 4個 (D) 5個
17. 投擲一顆公正骰子(亦即每一面出現的機率均為 ),若出現 4、5 或 6 點, 就以出現的數字做為所得到的分數;若出現 1、2 或 3 點,則再擲一次,並 以兩次投擲的點數和做為所得到的分數。請問所得到分數的期望值為下列哪 一個選項? (A) (B) 4 (C) (D)
18. 已知對數函數 y = log2x的圖形與一次函數的圖形有一個 x 坐標大於或 等於20的交點,則此交點的 x 坐標在下列哪一個範圍內? (A) (B) (C) (D)
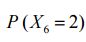
19. 設n 為正整數,令隨機變數 Xn代表投擲n 枚均勻銅板(亦即每一枚銅板出現 正面反面的機率均為 )時不同面的次數差。例如,當n 等於 4 時,出現 3 正面 1 反面或者出現 3 反面 1 正面,其不同面的次數差均為 2。請問機率 為下列哪一個選項? (A) (B) (C) (D)
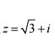
20. 考慮複數 。請問 z的正整數次方:,在坐標平面上對應 的點,有多少個在圓的內部? (A) 1個 (B) 2個 (C) 3個 (D) 4個