所屬科目:專科學力鑑定◆專(一):微積分
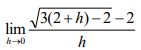
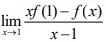
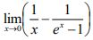
1. =? (A) 1 (B) 2 (C) 3 (D) 不存在
2. ,則f( x )的定義域為下列何者? (A) (1,∞) (B) ( 1,5 ] (C) ( 3,5 ] (D) [ 3,∞)
4. =? (A) (B) (C) (D)
5. ,則 h'(1) = ? (A) 1 (B) 0 (C) sin 1 (D) sin 1+cos 1
6. 若 f '(1) = 3, f (1) = 2 ,則 =? (A) -5 (B) -1 (C) 1 (D) 5
7. 若 =? (A) 1 (B) 0 (C) -1 (D) 不存在
9. 若,則 f (x) 有幾個臨界點? (A) 0個 (B) 1 個 (C) 2個 (D) 3個
10. 計算 的相對極值,可得下列何者為真? (A) x =1 時有相對極小值2 (B) x = -1 時有相對極大值0 (C) 時,有相對極大值 (D) 時,有相對極小值
11. =? (A) 1 (B) 0 (C) -1 (D) 不存在
12. = ? (A) (B) (C) (D)
13. ? (A) (B) (C) (D)
14. ? (A) ln1 (B) ln 2- ln1 (C) ln3- ln 2 (D) ln 4- ln 3
15. 已知,則 f '(0) =? (A) 49 / 45 (B) 5 / 9 (C) 13 / 9 (D) 89 / 45
16. =? (A) (B) (C) (D)
17. =? (A) (B) (C) ln | x + 2 | +ln | x +5 | +C (D)
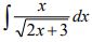
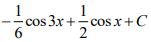
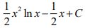
18. =? (A) (B) (C) (D)
19. 設 。已知 y = f (x) 和 y = g(x) 的交點為 ( 0 , 0 ) 和 (1, -1) , 則 y = f (x) 與 y = g(x) 所圍面積=? (A) 1 / 2 (B) 1 / 3 (C) 1 / 4 (D) 1 / 6
20. 給定兩曲線 y = √x , y = x 其所圍面積繞x軸旋轉所得迴轉體的體積為下列何者? (A) π (B) (C) (D)
21. 直角座標 (5, -12) 的極座標表示法為下列何者? (A) (B) (C) (D)
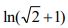
22. =? (A) 1 (B) e (C) 0 (D) 1 / e
23. =? (A) (B) 1 (C) ln 2 (D) 不存在
24. 若方程式 =? (A) 1 (B) 0 (C) -1 (D) - 2
25. =? (A) 2 π (B) 4 π (C) 6 π (D) 8 π
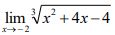
26. 求 =? (A) 2 (B) 3 10 (C) - 2 (D) 不存在
27. 求函數 的水平漸近線為下列何者? (A) y= -1 (B) y=0 (C) x= -1 (D) x=0
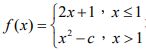
28. 若分段函數 , 在x=1處連續,求c=? (A) - 2 (B) 0 (C) 2 (D) 4
29. 若,則下列極限何者為 f '(2) ?
(A) (B) (C) (D)
30. 若 的反函數為 =? (A) 48 (B) 48 1 (C) 4 (D) 4 1
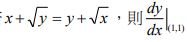
31. 若 ,則 f '(0) =? (A) (B) (C) (D) 3
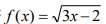
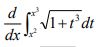
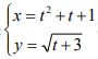
32. 曲線 在 t =1 處的切線斜率為下列何者? (A) (B) (C) (D)
33. 若利用變數變換法,令 u = 2x +3 ,則 可化成下列何者?
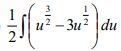
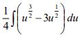
(A) (B)(C) (D)
34. =? (A) (B) (C) (D)
35. 若 ,則 f (x) =? (A) -sin x (B) sin x (C) 1 (D) -1
36. =? (A) (B) (C) (D)
37. 下列何者可以求出右圖陰影區域之面積? (A) (B) (C) (D)
38. 定積分 之值代表下列哪一個圖形區域之面積?
(A) (B) (C)(D)
39. =? (A) ln 2 (B) -ln 2 (C) ln(ln 2) (D) -ln(ln 2)
40. =? (A) 0 (B) 3 2 (C) 2 (D) 發散
41. 求函數 在下列哪一區間為遞減函數? (A) (- ∞, - 2) (B) (-2 , 0) (C) (-6 , 0) (D) (0 , 2)
42. 下列哪一點為函數圖形之反曲點? (A) (0 , 0) (B) (1,15) (C) (2 , 2) (D) (3, 9)
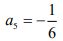
43. =? (A) 0 (B) (C) (D) 不存在
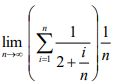
44. 已知 且設 ,則下列何者為正確? (A) a2 = 0 (B) (C) (D)
45. 級數 收歛或發散? (A) 收歛至1 (B) 收歛至2 (C) 收歛至3 (D) 發散
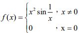
46. 求曲線 y = 5+ x2 ,從點 ( 0 , 0 ) 至點 (1, 3) 之弧長為何? (A) (B) (C) (D)
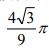
47. 設 ,則 f '(0) =? (A) 0 (B) 1 (C) 2 (D) 不存在
48. 半徑為1的球內,計算內接於球的最大直圓柱體積=? (A) (B) (C) (D)
50. =? (A) 0 (B) 1 (C) 2 (D) 不存在