所屬科目:專科學力鑑定◆專(一):微積分
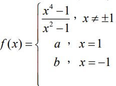
1. 設 ,若 f(x) 在 x =±1 皆連續,則的值為何? (A) 1 (B) 2 (C) 3 (D) 4
2. 設f(x)=ln (1+x ), 則=? (A) -2020! (B) -2021! (C) 2020 ! (D) 2021 !
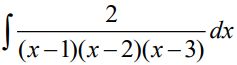
3. 假設 ,求=? (A)(B)(C) (D)
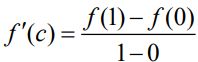
4. 求函數f(x)=4x3-8x2+7x-2在[ 0 , 1] 中,滿足均值定理的 c 為何?即滿足等式 的 c 為何? (A) 0 (B) (C) (D) 1
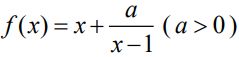
5. 已知之相對極小值為 3,則常數 a =? (A) 1 (B) 2 (C) 3 (D) 4
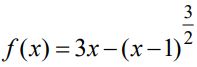
6. 函數最大值為何? (A) 1 (B) 3 (C) 5 (D) 7
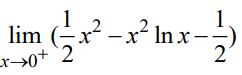
7. 求極限 =? (A) 4 (B) 2 (C) 0 (D) -2
8. 計算極限=? (A) -2 (B) -1 (C) (D)
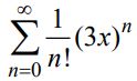
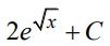
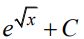
9. =? (A) (B) (C) (D)
10. =? (A) (B) (C)(D)
11. =? (A) (B) (C) (D)
12. ? (A) (B) π -1 (C) (D) 0
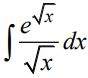
13. =? (A)(B) (C) (D)
14. 由曲線 y= x2 與直線 y =x + 2 所圍封閉區域之面積為何? (A) (B)(C) (D)
15. 由曲線與直線 x=1,x=2, y =0 ,所圍封閉區域繞 x 軸旋轉所得的體積為何? (A)(B) (C)(D)
16. 設極座標曲線的弧長為何? (A) e2- e(B)(C) 2(e2- e )(D)π(e2- e )
17. 設,則=? (A)(B) (C) (D)
19. 假設=? (A)π (e2-e) (B) 2π (e2+e) (C)3π (e2+e) (D)4π (e2+e)
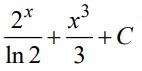
20. 求f(x)= 在 x = 0 的泰勒級數為何? (A) (B) (C) (D)