所屬科目:專科學力鑑定◆專(一):微積分
1. 考慮函數 f(x) = x² - 4x³,則函數 f(x) 在哪個範圍呈現遞增? (A) (-∞,0) (B) (0,2) (C) (2,3) (D) (3,∞)
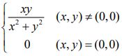
2. 給定 f(x,y) =,下列何者正確? (A) fx (0,0) 不存在 (B) fy(0,0) 不存在 (C) f(x,y) 在原點可微分 (D) f(x,y) 在原點不可微分
3. 考慮 f(x,y) = x4 + xy2– 3y3,則fy(2,1) 為何? (A) -7 (B) -5 (C) -2 (D) 2
4. 求由 y =、x=1和y=0所圍之區域繞x軸所得之旋轉體體積? (A)立方單位 (B)立方單位 (C) π立方單位 (D) 2π立方單位
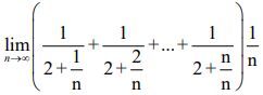
5. 求極限的值為何? (A) 0 (B) 1 (C) e (D) ∞
6. 有關圖(一),若用微積分的語言描述它,下列何者正確? (A)對所有t>0,都有 P'(t) ≥ 0 (B) 對所有t>0,都有P''(t) ≤ 0 (C) P" (t1) > 0 (D) P''(t2) > 0
7. 求極限值為何? (A)(B)(C)(D) 1
8. 求極限值為何? (A)(B)(C)ln 2 (D)ln 3
9. 考慮半徑為2的實心球x² + y² + z² = 22,此實心球在z ≥ 1的部分的體積為何? (A)(B)(C) (D)
10. 若 z = xy² 且 x = s²t 及 y = st²,求在 (s,t) = (2,1) 的值為何? (A) 32 (B) 64 (C) 80 (D) 96
11. 將二次積分f(x, y)dxdy 轉換成先對 y 積分再對x積分時,何者是正確的結果? (A)(B)(C)(D)
12. 設 y = f(x) 且滿足+ sin(x) = 1,則 f'(π)為何? (A) 1 (B) 0 (C) -1 (D) -2
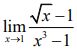
13. 求極限為何? (A)(B) 0 (C) -1 (D) 不存在
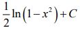
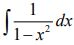
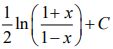
14. 設 0 < x < 1,求為何? (A)ln(1-x²)+C (B)2ln(x)+C (C)(D)
15. 給定r = cos(2θ) 且。求被r = cos(2θ) 所包圍的面積為何? (A)(B)(C)(D)
16. 求被平面x + 2y + z = 2、x = 2y、x = 0和z=0所包圍的四面體之體積為何? (A)(B)(C)(D)
17. 考慮函數 f(x) =,則f''(0) 為何? (A) 1 (B) 2 (C) 3 (D) 4
18. 求定積分的值為何? (A)(B) 2 ln 7 (C) 4 ln 7 (D) 12 ln 7
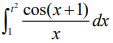
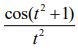
19. 設f(t)=,求 f'(t) = ? (A)(B)(C)(D)
20. 設 f(x) = |ln(x)|, 0 < x ≤2,下列何者正確? (A) f(x)沒有絕對最小值 (C) (1,0)是f(x)的反曲點 (B) f(x)沒有相對最大值 (D) f(x)是遞增函數