所屬科目:專科學力鑑定◆專(一):微積分
1. 下列選項哪一個函數的定義域為[ 108 ,2019]?(A)(B)(C)(D)
3. 若函數,求 f '(0) 之值為何? (A) 2.4 (B) 3.6 (C) 4.8 (D) 6
4. 已知可微函數之值為何? (A) 1 (B) 0 (C) -cos(1) (D) -1
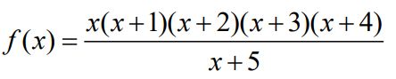
5. 若函數之值為何? (A) 120 (B) -120 (C) 2019 (D) -2019
7.求之值為何?(A)2019(B)2019/π(C)4038/π(D)4038
8. 若連續函數 y =f (x ) 在[ 1 ,3]每點均可微分,若 f (1) = 3 ,f(2) = 1 、 以及 f (3) = 2 ,下列選項何者恆為正確?(A)存在剛好兩點使得f(c) = 2.5 (B))存在最多兩點使得f(c) = 2.5(C))存在剛好兩點使得f'(c) = 0(D))存在最少一點使得f'(c) = 0
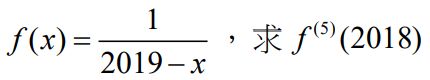
9. (A) ln 3 (B) ln 9 (C) 100 (D) 2019
10. 若 R 表示坐標平面上 ( 0 , 2 ) 、( - 1 , 0 ) 、( 1 , 0 ) 所圍成的封閉區域 , 若 f ( x ,y ) 連續在區域R,則二重積分(double integral)跟下列選項哪一個逐次積分(repeated integral)恆為相同?(A)(B)(C)(D)
11.若f(x,y) = xy,x > 0,則(A)xy‧(x-1)y-1(B)2xyln x(C)2y‧xy-1(D)y‧xy-1+xyln x
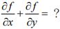
12. (A) -2 (B) -3 (C) 4 (D) 5
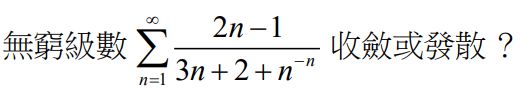
13. (A) 收斂至1 (B) 收斂至2 (C) 收斂至3 (D) 發散
14. (A) 1 (B) 0 (C) 1 / 2 (D) 不存在
19.求(A)tan-1(x50)(B)tan-1x(C)(D)tan(x50)
20. 求(A)-2 cos1(B)0(C)(D)