所屬科目:專科學力鑑定◆專(一):微積分
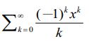
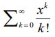
1. =? (A) (B)(C)(D)
2. 已知 f ( x )=x4- x2 , ,則f(x) 在 [0,1]中最小值為何? (A) (B) (C) (D)
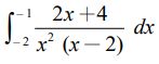
3. 求定積分=? (A) (B)(C) (D)
4. 若某曲線的斜率為 4x 且通過點 (2,9) ,求其曲線方程式? (A) (B) (C) y=2x2+1 (D) y=4x2 – 7
5. 設=? (A) (B) (C) (D)
6. 假設,求F'(-1)=? (A) – 6 (B) – 3 (C) 3 (D) 6
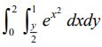
7.求二重積分 =(A) (B) (C) e – 1 (D) e +1
8. 已知x≠0 時,,且f(x) 在x=0 連續,則f(0) =? (A) – 1 (B) 0 (C) (D) 1
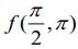
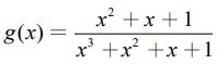
9. 若,則g'(1) =? (A) (B) (C) (D)
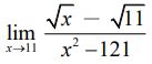
10. =? (A) 0 (B) (C) 111 (D) 不存在
11. 若 ,則f(x) 的臨界點為何? (A) x =0 (B) x =1, – 1 (C)(D)
12. 已知 臨界點,則下列何者為真? (A) 為相對極大值 (B)為相對極小值 (C)是f(x,y) 的鞍點 (D) f ( x ,y )無最小值
13. 求定積分 =? (A) (B) (C) (D)
14. 求由線段 y= x ,0≤x≤1 繞 x 軸旋轉所成曲面的表面積? (A) (B) (C)(D)
15. 求極坐標 ,ln2≤θ≤ln 4 之曲線長? (A) (B)(C)(D)
16. 求 在 x=0 的泰勒級數(Taylor Series)為何? (A) (B) (C) (D)
17.=? (A) 不存在 (B)(C)(D)
18. 求由 y= 、 y=2 和 x=0 所圍之區域繞 y 軸旋轉所得之旋轉體體積? (A) (B) (C) (D)
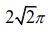
19. 求心臟線 (cardioid) r= 2 (1 +cosθ )的面積? (A) 2π (B) 4π (C) 6π (D) 8π
20. =? (A) (B) 37 (C)(D)