所屬科目:專科學力鑑定◆專(一):微積分
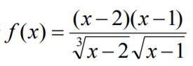
1. 若,則 f (x) 的定義域為: 5 (A) (-∞,∞) (B) (1,∞) (C) (1,2) ∪ (2,∞) (D) (2,∞)
2. 求 =? (A) 0 (B) 1 (C) -1 (D) 不存在
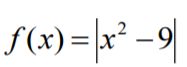
4. 若 ,則 f (x) 在 x = 3 處可微分性以及連續性為何? (A) f (x) 在 x = 3 處可微分但是不連續 (B) f (x) 在 x = 3 處不可微分但是連續 (C) f (x) 在 x = 3 處可微分也連續 (D) f (x) 在 x = 3 處不可微分也不連續
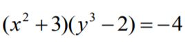
5. 若自變數 x 及應變數 y 滿足,則 =? (A)(B)(C)(D)
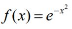
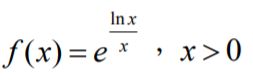
6. 若 ,則 f (x) 的臨界點為: (A) x = e (B) x =1 (C) x = (D) 不存在
7. 若,則 f (x) 的反曲點發生處為: (A) x = ±1 之處 (B) x = ± 之處 (C) x = ± 之處 (D) 不存在
8. 求? (A) 0 (B) 1 (C) -∞ (D) ∞
9. 求 =?(A) 1 (B) -1 (C) 6 (D)
10. 求 =? (A) (B) sin x (C) (D)
11. 求定積分 之值為何? (A) π -1 (B) π - 2 (C) π +1 (D) 1
12. 求定積分之值為何? (A) e -1 (B) 0 (C) 1 (D)
13. 求定積分 之值為何? (A) ln 8 (B) ln 2 (C)(D) ln 0.5
14. 求由曲線 以及 y = 9 所圍成的封閉區域,繞直線 y = 9 旋轉所成的 區域體積為何? (A) (B) (C) (D)
15. 求由曲線y = 9 - 9x 2 以及 所圍封閉區域面積為何? (A) 60 (B) 48 (C) 36 (D) 24
16. 求曲線的弧長為何? (A)(B) (C) 1 (D) 2
17. 求曲線 r = 8cosθ 所圍成的封閉區域面積為何? (A) 4π (B) 8π (C) 16π (D) 64π
18. 下列無窮級數何者為收斂? (A) (B) (C) k (D)
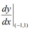
19. 已知一個二元可微函數 f (x, y) 滿足 f x (1,2) = 3 以及 f y (1,2) = 4, 令 , 求 g"(0) 之值為何? (A) 8 (B) 6 (C) 4 (D) 3
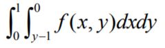
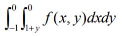
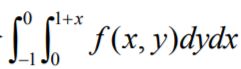
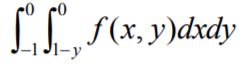
20. 已知 f (x, y) 為一個二元連續函數,則逐次積分 與下列何者恆相同? (A) (B) (C) (D)