所屬科目:專科學力鑑定◆專(一):微積分
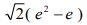
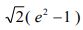
1. ? (A) e (B) (C) (D)4e2
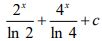
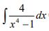
2. =? (A) (B) (C) (D)
3. =? (A) (B) (C) (D)
4. =? (A) - cos x ln ( cos x ) - cos x +C (B) cos x ln (cos x ) - cos x +C (C) -cos x ln ( cos x ) + cos x +C (D) cos x ln (cos x) + cos x +C
6. 極座標方程式 之曲線長為何? (A) (B)(C) (D)
7. =? (A) (B) (C) (D)
8. 設 ,則 f (x, y ) 的臨界點為何? (A) (1 , 1) (B) (1 , -1) (C) (-1 , 1 ) (D) (-1 , -1)
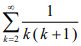
9. =? (A) 1 (B) (C) (D) 發散
10. 若 的麥克勞林級數(Maclaurinseries)為 a0 + a1 x + a2 x2 + a3 x3 + a4 x4 +... ,則a6 為何? (A) (B) (C) (D) 0
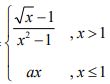
11. 已知函數f ( x )= ,若 f ( x ) 在 x=1 處連續,則 a 之值為何? (A) 1 (B) 0.25 (C) 0.5 (D) 2
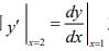
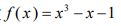
13. 已知函數 ,則 f '( 0 ) 之值為何? (A) 1 (B) 2 (C) 6 (D) 3
14. 若 sin ( x ) + cos ( y ) = sin ( y ) + cos ( x ),則 之值為何? (A) sin ( 1 ) (B) 0 (C) cos( 1 ) (D) 1
15. 已知函數之值為何? (A) 1 (B)2ln2 - 4 (C) 2 ln 2 (D) 2
16. 已知函數 ,則 f '(0) 之值為何? (A) 0.5 (B) 1 (C) 2 (D) 0
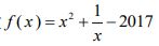
17. 已知函數 ,則 f ( x ) 的反曲點為何? (A) 沒有反曲點 (B) ( 0 , 1 ) (C) ( -1, - 2017 ) (D) (1, - 2015 )
18. 已知函數 ,則 f ( x ) 在何處發生相對極大值? (A) x = (B) x = (C)x = (D)x =
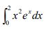
19. 逐次積分 之值為何? (A) 0.5 (B) 1 (C) 2 (D) 3
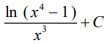
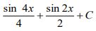
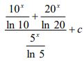
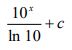
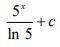
20. 不定積分之值為何? (A) (B) (C) (D)