所屬科目:專科學力鑑定◆專(一):微積分
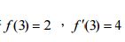
1. 若 ,且則 g '(3) = ? (A) (B) (C) (D)
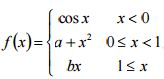
2. 若 a,b 為常數且 為一連續函數,求 a +b = ? (A) 1 (B) 2 (C) 3 (D) 4
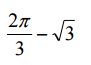
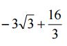
3. 求的相對極大值為何? (A) - 8 (B) (C) (D) 8
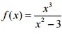
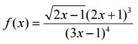
4. 設函數,求 f'(1) = ? (A) 3 (B) 6 (C) 9 (D) 18
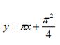
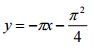
5. 求函數 圖形在之切線方程式? (A) (B) (C) (D)
6. 求定積分? (A) (B) (C) (D)
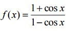
7. 若,則? (A) (B) (C) (D)
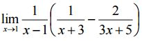
8. 求極限 ? (A) (B) (C) (D)
9. 若 ,則 f '(1) = ? (A) (B) (C) (D)
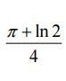
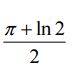
10.求 = ? (A) (B) (C)(D) π
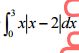
11. 求定積分 dx=? (A) (B) (C) (D)
12. 求 y = 2 - cos x , y = sin x , 和 所圍區域之面積? (A)(B) (C)(D)
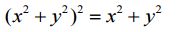
14. 極方程式,可轉換為下列何者直角坐標方程式? (A) (B) (C) (D)
15. 極方程式 r = 3- 2sinΘ 圖形所圍區域的面積為何? (A) (B) (C) 11π (D) 22π
16. 已知 ai ,i =1,2,3, ... 為實數。若 的麥克勞林級數(Maclaurin series) 為 a0 + a1 x + a2 x 2 + a3 x 3 + a4 x 4 +... ,則 a3 = ? (A) (B) (C) (D)
17. 已知級數 收斂,求級數和? (A) (B) (C) (D)
18. 若? (A) - 5 (B) - 3 (C) 3 (D) 5
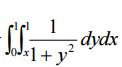
20. 求雙重積分 ? (A) (B) (C)(D)