所屬科目:專科學力鑑定◆專(一):微積分
1.? (A)(B)(C)(D)
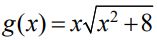
2. 設,則 g(x)的定義域為下列何者? (A)(2020,∞)(B)[2020,∞)(C)[109,∞)(D)
3. 已知x2-xy-y2=1,則=? (A) (B) (C) (D) 不存在
4. 若,則 g'(1) =? (A)(B) (C) (D)
5.,則 g'(0) =? (A) 1 (B) 0 (C) -1 (D) 不存在
6.=? (A) 0 (B) (C) 109! (D) 不存在
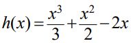
7. 若 ,則h(x)的臨界點為何? (A) x =1,2 (B) x = 1, -2 (C) x = -1,2 (D) x = -1,-2
8. 已知, ,則 f (x)在[1,3]中最小值發生在何處? (A) x = 3 (B) (C) (D) x =1
9. 若 sin x4 的麥克勞林級數(Maclaurin series)為 a0+a1x+a2x2+a3x3+a4x4+... ,考慮其前21 項係數a0,a1,...,a20 ,下列何者為真? (A) a1≠0 (B) a4= 0 (C) a8= 0 (D) a12= 0
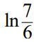
10. 已知=? (A) ln2 (B) π ln 2 (C) 2π ln 2 (D) 2lnπ
11. 求極限=? (A) 0 (B) (C) (D) 1
12. 求定積分=? (A) (B)(C) (D)
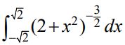
13. 求定積分=? (A) (B) (C) (D)
14. 求定積分=? (A) (B) (C) (D) 1
15. 求定積分=? (A) 1 (B) 2 (C) 3 (D) 4
16. 函數f(x)=sin2(x)cos3(x)在上的平均值為何? (A) (B) (C) (D)
17. 試求r = 4cos(θ)在第一象限所圍區域面積為何? (A) π (B) 2π (C) 3π (D) 4π
18. 求曲線 y= sinx ,-π ≤ x ≤ π ,和 x軸所圍之區域繞 y 軸旋轉的旋轉體體積為何? (A) π2 (B) 2π2 (C) 3π2 (D) 4π2
20. 函數的相對極大值為何? (A) -6 (B) (C) (D) 8