阿摩線上測驗
登入
首頁
>
微積分與微分方程
> 104年 - 104 高等考試_三級_核子工程:微積分與微分方程#39612
104年 - 104 高等考試_三級_核子工程:微積分與微分方程#39612
科目:
微積分與微分方程 |
年份:
104年 |
選擇題數:
0 |
申論題數:
7
試卷資訊
所屬科目:
微積分與微分方程
選擇題 (0)
申論題 (7)
【已刪除】 ⑴已知函數 f ( x) =
,在 x = 0 處連續,求 k 值。(15 分)
【已刪除】 ⑵求
=?(10 分)
⑴已知函數 f ( x , y ) = 4 xy − x
2
− y
2
− 6 x ,求此函數在以 (0, 0),(2, 0),(2, 6) 三點所 圍成的三角形區域 D = {( x , y ) : 0 ≤ x ≤ 2, 0 ≤ y ≤ 3 x} 的最大值和最小值。(15 分) 1
【已刪除】 ⑵求
,其中 Ω 是由(0, 0),(1, 0),(1, 1)三點所圍成的三角形區 域。(15 分)
【已刪除】 ⑴ ∇ •
(−1, 2, 3) 。
【已刪除】 ⑵ ∇ ×
(3, − 2, 1) 。
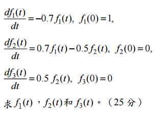
【已刪除】四、已知微分方程系統
相關試卷
111年 - 111 高等考試_三級_核子工程:微積分與微分方程#109636
111年 · #109636
108年 - 108 高等考試_三級_核子工程:微積分與微分方程#77764
108年 · #77764
107年 - 107 高等考試_三級_核子工程:微積分與微分方程#71189
107年 · #71189
106年 - 106 高等考試_三級_核子工程:微積分與微分方程#63436
106年 · #63436
105年 - 105 高等考試_三級_核子工程:微積分與微分方程#54369
105年 · #54369
103年 - 103 高等考試_三級_核子工程:微積分與微分方程#39720
103年 · #39720
102年 - 102 高等考試_三級_核子工程:微積分與微分方程#39831
102年 · #39831
101年 - 101 高等考試_三級_核子工程:微積分與微分方程#39849
101年 · #39849
100年 - 100 高等考試_三級_核子工程:微積分與微分方程#39850
100年 · #39850
99年 - 99 高等考試_三級_核子工程:微積分與微分方程#40198
99年 · #40198