所屬科目:微積分與微分方程
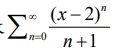
(二)求冪級數 之收斂半徑及收斂區間。
二、令 f ( x, y, z ) =及 B = {( x, y, z ) |1 ≤ x 2 + y 2 + z 2 ≤ 4, y ≥ 0, z ≥ 0} 。 求三重積分之值。