所屬科目:微積分與微分方程
一、⑴求極限值:。
⑵已知 y =f(x)滿足方程式 x+6x3y3+y-8=0且 (1) = 1,求圖形f(x) 在點(1,f(1))的切線方程式。
二、利用Lagrange 乘數法(The Method of Lagrange Multipliers)求函數f(x,y)=在g(x,y)=400x+600y-120000=0 的條件下之最大值。
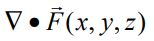
⑴試求的散度(Divergence)﹕。
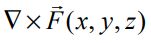
⑵試求的旋度(Curl)﹕。
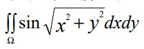
四、⑴求下列的積分值:
,其中。
⑵利用格林定理(Green Theorem)計算下列線積分:
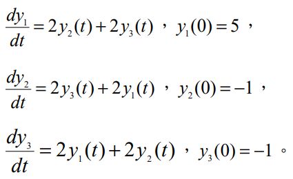
五、求下列微分方程組的解: