阿摩線上測驗
登入
首頁
>
微積分與微分方程
> 105年 - 105 高等考試_三級_核子工程:微積分與微分方程#54369
105年 - 105 高等考試_三級_核子工程:微積分與微分方程#54369
科目:
微積分與微分方程 |
年份:
105年 |
選擇題數:
0 |
申論題數:
5
試卷資訊
所屬科目:
微積分與微分方程
選擇題 (0)
申論題 (5)
一、計算 ∫ sec
3
x dx 。(20 分)
二、假定橢圓 E 為柱面 f ( x, y, z ) = x
2
+ y
2
− 2 = 0 及平面 g ( x, y, z ) = x + z − 4 = 0 之交集。 找出在橢圓 E 上的一點 P(1,1,3) 在平面 g ( x, y, z ) = x + z − 4 = 0 上的切線參數方程式。 (20 分)
三、利用 Lagrange 乘數法(the Method of Lagrange Multipliers)找出在 xyz 空間曲面
x
2
+ y
2
+ z
2
+ xy = 1
上離原點最近距離和最遠距離,並且找出分別對應發生最近距離和最遠距離的點之 座標。 (20 分)
四、計算此線積分 ∫
c
y
2
dx + 3 xydy ,此曲線 C 為平面區域
D = {( x, y ) : 1 ≤ x
2
+ y
2
≤ 4 且 y ≥ 0}
之邊界,曲線 C 為一單純閉曲線(simple closed curve)且依序連接點 (2,0) , (−2,0) , (−1,0) , (1,0) , (2,0) 。(20 分)
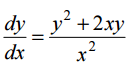
【已刪除】五、求下列齊次方程式(homogeneous equation)
之通解 y = y
g
(x) 。(20 分)
相關試卷
111年 - 111 高等考試_三級_核子工程:微積分與微分方程#109636
111年 · #109636
108年 - 108 高等考試_三級_核子工程:微積分與微分方程#77764
108年 · #77764
107年 - 107 高等考試_三級_核子工程:微積分與微分方程#71189
107年 · #71189
106年 - 106 高等考試_三級_核子工程:微積分與微分方程#63436
106年 · #63436
104年 - 104 高等考試_三級_核子工程:微積分與微分方程#39612
104年 · #39612
103年 - 103 高等考試_三級_核子工程:微積分與微分方程#39720
103年 · #39720
102年 - 102 高等考試_三級_核子工程:微積分與微分方程#39831
102年 · #39831
101年 - 101 高等考試_三級_核子工程:微積分與微分方程#39849
101年 · #39849
100年 - 100 高等考試_三級_核子工程:微積分與微分方程#39850
100年 · #39850
99年 - 99 高等考試_三級_核子工程:微積分與微分方程#40198
99年 · #40198