所屬科目:專科學力鑑定◆專(一):機電整合(實習)
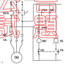
5. 如圖(一)為三相感應馬達的驅動電路,有關此電路,下列的敘述何者錯誤?
(A) RST若為三相220V的電源,則MC線圈及紅燈應選用單相220V規格的元件 (B) 正常起動要按PB1,正常停止要按PB2,按一下放手即有效 (C) 此電路的MC需要1a (NO)的輔助接點 (D) 短路等大電流故障時,馬達會跳脫,且紅燈會亮
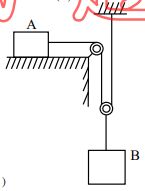
14. 如圖(二)所示的滑輪機構,A物重50N靜置於平面上,A與平面間的最大靜摩擦係數為0.4, 試求恰能使A開始移動的B重量為何? (A) 10N (B) 20N (C) 40N (D) 50N
19. 一近接感測器的輸出電路如圖(三)所示,此輸出應稱為: (A) TTL輸出 (B) 電壓輸出 (C) 開集極輸出 (D) 電流輸出
22. 如圖(四 )之油壓供應系統,此系統用來驅動一支油壓缸,使其缸桿有低出力 ( 低壓 ) 時 快速移動、高出力(高壓)時慢速移動的效果,有關此系統,下列之敘述何者錯誤? (A) 泵C應為高壓小流量泵 (B) 閥A應為小流量閥且設於高壓以上 (C) 當系統為高壓時,泵D應停止轉動 (D) 當系統在低壓以下工作時,閥B不會作動洩壓
24. 如圖(五)的氣壓及電氣迴路圖,下列敘述何者錯誤? (A) 按PB1會使缸A往前行 (B) 缸A往前行時,鬆手不按PB1,缸A會後退 (C) 當缸A到達且壓住a1時,若缸無法再前進,其會停留一段時間 (D) 當缸A回行至停止時,要再按PB1才能再起動
30. 如圖( 六 )所示之電路,a、b 兩端的戴維寧等效電壓 Vth ( Thevenin ’s equivalent voltage ) 及 等效電阻Rth (Thevenin ’s equivalent resistance )分別為何?
(A) Vth = 16V, Rth = 19 Ω (B) Vth = 24V, Rth = 4 Ω (C) Vth = 8V, Rth = 5 Ω (D) Vth = 16V, Rth = 5 Ω
33. 如圖(七)所示之電路,當電源變壓器一次側接至AC110V(有效值), RL = 2kΩ ,若二極體 均視為理想二極體,當二極體 D1 發生開路故障時,則 VDC 之直流電壓平均值約為何? (A) 9V (B) 8.5V (C) 7.4V (D) 5.4V
34. 電晶體的偏壓電路如圖(八) 所示,若電晶體 β = 100,VBE = 0.7,則此集極電流 Ic 約為下列 何者? (A) 10.2mA (B) 8.6mA (C) 5.6mA (D) 4.3mA
35. 如圖(九) 所示之邏輯電路,其輸出W為何? (A) X + Y (B) X + Y (C) 1 (D) Y
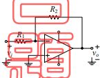
36. 如圖(十)所示之運算放大器電路,Vi = - 0.2V, R =1kΩ ,則 Vo約為下列何者? (A) - 20V (B) 20V (C) 15V (D) - 15V
37. 如圖(十一)所示之理想運算放大器電路,其輸入到輸出的電壓增益為: (A) (B) (C) (D)
38. 如圖(十二)所示之理想運算放大器電路,若輸入電壓 VIN = 0.1V,該電路輸出電壓 VOUT 為 下列何者? (A) 0.1V (B) 1V (C) 10V (D) 11V
40. 如圖(十四)所示之理想運算放大器電路,其對輸入電壓到輸出電壓之功能為下列何者: (A) 加法器 (B) 減法器 (C) 微分器 (D) 積分器
45. 如圖(十五)所示之電磁繼電器,當輸入電路被觸發導通時,負載應接在輸出電路數個接點 (NO,即是常開)、(NC,即是常閉)、及(COM,即是共同點)中之哪一部分,輸出電路之 電源才可因此導通電流到負載開始工作? (A) NO及NC兩者間 (B) NO及COM兩者間 (C) NC及COM兩者間 (D) 以上皆非
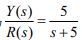
46. 某系統之轉移函數為,若輸入為單位步階函數( unit step function ),下列何者 為 t 0 的系統輸出響應 y(t) ? (A) (B) (C) (D)
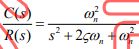
47. 某 二 階 系 統 之 轉 移 函 數 為 , 圖(十六)為 其 單 位 步 階 函 數 ( unit step function )之響應 c(t) ,根據 c(t) 之波形,下列敘述何者正確?
(A) 此系統為穩定,且 (B) 此系統為不穩定,且 (C) 此系統為穩定,且 (D) 此系統為不穩定,且
48. 某系統輸出的拉氏轉換 ( Laplace transform ) 為 ,下列何者為 y(t) 趨於穩定 ( )之值? (A) 12 (B) 2 (C) 0 (D) ∞
50. 某系統輸出 ,當系統輸出達到穩態值的98%(即4倍時間常數)時,所需的時間 應約為下列何者? (A) 0.125秒 (B) 0.5秒 (C) 1秒 (D) 2秒