所屬科目:專科學力鑑定◆專(一):機電整合(實習)
6. 如圖(一)所示,Rf =2kΩ,Ri=50Ω,該電路的增益值以dB來表示為何? (A) 32.25 (B) 26.44 (C) - 32.04 (D) - 26.44
9. 如圖(二)電路所示,假設所有的二極體均為理想的元件,則輸出電壓Vout為何? (A) 12.5V (B) 10V (C) 7.5V (D) - 7.5V
10. 如圖(三)所示的二階低通濾波器,其中C1=0.1μF,C2=0.05μF,R1=R2=7.5kΩ。此濾波器的截止頻率: (A) 100Hz (B) 200Hz (C) 300Hz (D) 400Hz
11. 已知弛緩振盪器電路如圖 ( 四 ) 所示,其 UJT 的本質解離比為 0.75,其 R 1 = 100 k Ω, C1 = 0.5μF,此振盪器電路的操作頻率: (A) 14.4Hz (B) 15.5Hz (C) 16.6Hz (D) 17.7Hz
13. 有一電磁線圈可用來驅動高速印表機的印表頭,表頭將字模壓在色帶上,然後將字列印在紙上,如圖(五)所示,若印表頭重50 g,要在1 cm的距離下以2m/s之速度及打色帶, 則電磁線圈要提供多少力給印表頭? (A) 5.6N (B) 4.8N (C) 3.6N (D) 2.5N
26. 如圖(六)所示,當X1為ON及X2為OFF時,下列敘述何者正確? (A) Y1、Y2皆為OFF (B) Y1為 ON (C) Y2為 ON (D) Y1、Y2皆為ON
27. 如圖(七)所示,當X0為ON及T0計時時間到時,則下列敘述何者正確? (A) Y0、Y1皆為 OFF (B) Y0為 OFF (C) Y1為 OFF (D) Y0、Y1皆為ON
30. 如圖(八)所示電路,根據戴維寧定理,a、b兩端的戴維寧等效電壓Eth及等效電阻Rth 為何? (A) 9V與9Ω (B) 3V與6Ω (C) 6V與2Ω (D) 3V與3Ω
32. 如圖(九)所示,在RB =100 kΩ,RC =4kΩ 時,求Vo為何? (A) 4.65V (B) 9.8V (C) 27.2V (D) 37.2V
34. 如圖(十)所示之電路,其中R1=10kΩ,R2=100kΩ 時,輸入電壓V1=+2V時,其閉迴路輸出電壓Vo=? (A) - 20V (B) - 10V (C) 10V (D) 20V
37. 如圖(十一)所示之繼電器電路接線,若通電未押下PB1與PB2按鈕,紅燈RL已亮,表示: (A) LS1與LS2在作動狀態 (B) LS1與LS2在不作動狀態 (C) LS1作動,LS2不作動 (D) 極限開關LS1不作動,LS2作動狀態
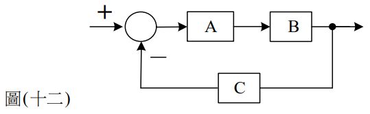
50. 如圖(十二)所示為閉迴路控制系統的方塊圖,其中A、B為放大器增益,C為回授增益,則此閉迴路控制系統的增益大小為: (A) A(1+ABC)-1 (B) B(1+ABC)-1 (C) AB(1+ABC)-1 (D) BC(1+ABC)-1